2026 Volume 16 Issue 2
Article Contents

Jin Wen, Hong-Bo Zheng, Xin-Yi Liu, Xue-Juan Ren. INVERSE COEFFICIENT PROBLEM FOR THE FOURTH-ORDER BEAM EQUATION BY THE METHOD OF VARIATIONAL IMBEDDING[J]. Journal of Applied Analysis & Computation, 2026, 16(2): 724-741. doi: 10.11948/20250075
Citation: Jin Wen, Hong-Bo Zheng, Xin-Yi Liu, Xue-Juan Ren. INVERSE COEFFICIENT PROBLEM FOR THE FOURTH-ORDER BEAM EQUATION BY THE METHOD OF VARIATIONAL IMBEDDING[J]. Journal of Applied Analysis & Computation, 2026, 16(2): 724-741. doi: 10.11948/20250075

INVERSE COEFFICIENT PROBLEM FOR THE FOURTH-ORDER BEAM EQUATION BY THE METHOD OF VARIATIONAL IMBEDDING

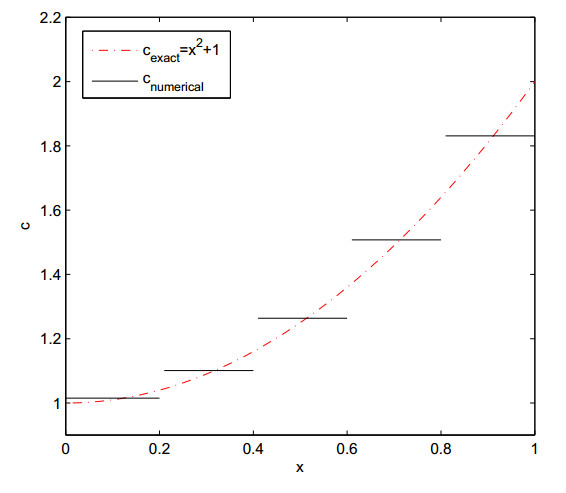
  • This paper presents an inverse problem related to a fourth-order beam equation, where the coefficient at the zeroth-order term is unknown. Based on the simple approximation lemma, we employ a technique known as the method of variational imbedding to establish the existence and uniqueness of a weak solution for a variational problem. Finally, we provide several numerical examples using the finite difference method to demonstrate the efficiency and accuracy of our proposed approach.

    MSC: 35R25, 65M30
  • 加载中
  • [1] V. Barcilon, Inverse problem for the vibrating beam in the free-clamped configuration, Philosophical Transactions of the Royal Society of London, Series A, Mathematical and Physical Sciences, 1982, 304(1483), 211-251.

    Google Scholar

    [2] V. Barcilon, Sufficient conditions for the solution of the inverse problem for a vibrating beam, Inverse Problems, 1987, 3(2), 181. doi: 10.1088/0266-5611/3/2/005

    CrossRef Google Scholar

    [3] J. Cheng, Z. Yang and X. Zheng, Inverting mechanical and variable-order parameters of the Euler-Bernoulli beam on viscoelastic foundation, J. Inverse Ill-Posed Probl., 2024, 32(2), 261-275. doi: 10.1515/jiip-2023-0084

    CrossRef Google Scholar

    [4] C. Christov, A method for identification of homoclinic trajectories, in Proc. 14-th Spring Conf, Sunny Beach, Union of Bulg. Mathematicians, Sofia, Bulgaria, 1985, 571-577.

    Google Scholar

    [5] C. Christov, et al., Identification of heat-conduction coefficient via method of variational imbedding, Mathematical and Computer Modelling, 1998, 27(3), 109-116. doi: 10.1016/S0895-7177(97)00269-0

    CrossRef Google Scholar

    [6] C. I. Christov and T. T. Marinov, Method of variational imbedding for the inverse problem of boundary-layer thickness identification, Mathematical Models and Methods in Applied Sciences, 1997, 7(07), 1005-1022. doi: 10.1142/S0218202597000505

    CrossRef Google Scholar

    [7] P. Drábek and G. Holubová, On the maximum and antimaximum principles for the beam equation, Applied Mathematics Letters, 2016, 56, 29-33. doi: 10.1016/j.aml.2015.12.009

    CrossRef Google Scholar

    [8] P. Drábek and G. Holubová, Positive and negative solutions of one-dimensional beam equation, Applied Mathematics Letters, 2016, 51, 1-7. doi: 10.1016/j.aml.2015.06.019

    CrossRef Google Scholar

    [9] P. Drábek, G. Holubová, A. Matas and P. Nečesal, Nonlinear models of suspension bridges: Discussion of the results, Applications of Mathematics, 2003, 48, 497-514. doi: 10.1023/B:APOM.0000024489.96314.7f

    CrossRef Google Scholar

    [10] U. Durdiev, Inverse problem of determining the unknown coefficient in the beam vibration equation in an infinite domain, Differential Equations, 2023, 59(4), 462-472. doi: 10.1134/S0012266123040031

    CrossRef Google Scholar

    [11] U. Durdiev, A time-nonlocal inverse problem for the beam vibration equation with an integral condition, Differential Equations, 2023, 59(3), 359-370. doi: 10.1134/S0012266123030060

    CrossRef Google Scholar

    [12] I. Ge, et al., On the determination of a differential equation from its spectral function, American Mathematical Society Translations: Series 2, 1955, 1, 253-304.

    Google Scholar

    [13] H. Hochstadt, The inverse sturm-liouville problem, Communications on Pure and Applied Mathematics, 1973, 26(5-6), 715-729. doi: 10.1002/cpa.3160260514

    CrossRef Google Scholar

    [14] S. Kumarasamy, A. Hasanov and A. Dileep, Inverse problems of identifying the unknown transverse shear force in the Euler-Bernoulli beam with Kelvin-Voigt damping, J. Inverse Ill-Posed Probl., 2024, 32(1), 75-106.

    Google Scholar

    [15] R. Lattès, J. L. Lions and R. E. Bellman, The Method of Quasi-Reversibility: Applications to Partial Differential Equations, Modern Analytic and Computational Methods in Science and Mathematics, No. 18, American Elsevier Publishing Co., Inc., New York, 1969. Translated from the French edition and edited by Richard Bellman.

    Google Scholar

    [16] A. C. Lazer and P. J. McKenna, Large-amplitude periodic oscillations in suspension bridges: Some new connections with nonlinear analysis, SIAM Review, 1990, 32(4), 537-578. doi: 10.1137/1032120

    CrossRef Google Scholar

    [17] A. Lerma and D. Hinestroza, Coefficient identification in the Euler-Bernoulli equation using regularization methods, Applied Mathematical Modelling, 2017, 41, 223-235. doi: 10.1016/j.apm.2016.08.035

    CrossRef Google Scholar

    [18] D. Lesnic, An inverse coefficient identification problem in a dynamic plate model, in The 5th International Conference on Inverse Problems in Engineering: Theory and Practice, (ed. D. Lesnic), Leeds University Press, Leeds L, 2005, 5.

    Google Scholar

    [19] D. Lesnic, L. Elliott and D. Ingham, Analysis of coefficient identification problems associated to the inverse Euler-Bernoulli beam theory, IMA Journal of Applied Mathematics, 1999, 62(2), 101-116. doi: 10.1093/imamat/62.2.101

    CrossRef Google Scholar

    [20] D. Lesnic and A. Hasanov, Determination of the leading coefficient in fourth-order Sturm-Liouville operator from boundary measurements, Inverse Probl. Sci. Eng., 2008, 16(4), 413-424. doi: 10.1080/17415970701256528

    CrossRef Google Scholar

    [21] B. D. Lowe and W. Rundell, An inverse problem for a sturm-liouville operator, Journal of Mathematical Analysis and Applications, 1994, 181(1), 188-199. doi: 10.1006/jmaa.1994.1013

    CrossRef Google Scholar

    [22] T. T. Marinov, C. I. Christov and R. S. Marinova, Novel numerical approach to solitary-wave solutions identification of Boussinesq and Korteweg–de Vries equations, International Journal of Bifurcation and Chaos, 2005, 15(02), 557-565. doi: 10.1142/S0218127405012211

    CrossRef Google Scholar

    [23] T. T. Marinov and R. S. Marinova, Coefficient identification in Euler-Bernoulli equation from over-posed data, Journal of Computational and Applied Mathematics, 2010, 235(2), 450-459. doi: 10.1016/j.cam.2010.05.048

    CrossRef Google Scholar

    [24] T. T. Marinov, R. S. Marinova and C. I. Christov, Coefficient identification in elliptic partial differential equation, in International Conference on Large-Scale Scientific Computing, Springer, 2005, 372-379.

    Google Scholar

    [25] T. T. Marinov and A. S. Vatsala, Inverse problem for coefficient identification in the Euler-Bernoulli equation, Computers & Mathematics with Applications, 2008, 56(2), 400-410.

    Google Scholar

    [26] J. McLaughlin, On constructing solutions to an inverse Euler-Bernoulli problem, Inverse Problems of Acoustic and Elastic Waves, 1984, 341-347.

    Google Scholar

    [27] V. G. Papanicolaou, The spectral theory of the vibrating periodic beam, Communications in Mathematical Physics, 1995, 170(2), 359-373. doi: 10.1007/BF02108333

    CrossRef Google Scholar

    [28] V. G. Papanicolaou and D. Kravvaritis, An inverse spectral problem for the Euler-Bernoulli equation for the vibrating beam, Inverse Problems, 1997, 13(4), 1083. doi: 10.1088/0266-5611/13/4/013

    CrossRef Google Scholar

    [29] J. Radová and J. Machalová, Parameter identification in contact problems for Gao beam, Nonlinear Analysis: Real World Applications, 2024, 77, 104068. doi: 10.1016/j.nonrwa.2024.104068

    CrossRef Google Scholar

    [30] M. Raissi, P. Perdikaris and G. E. Karniadakis, Physics-informed neural networks: A deep learning framework for solving forward and inverse problems involving nonlinear partial differential equations, J. Comput. Phys., 2019, 378, 686-707. doi: 10.1016/j.jcp.2018.10.045

    CrossRef Google Scholar

    [31] H. L. Royden, Real Analysis, 6, Krishna Prakashan Media, 1988.

    Google Scholar

    [32] A. Tarantola, Inverse Problem Theory and Methods for Model Parameter Estimation, Society for Industrial and Applied Mathematics (SIAM), Philadelphia, PA, 2005.

    Google Scholar

    [33] A. N. Tikhonov and V. Arsenin, Solutions of Ill-Posed Problems, 1977. Translated from the Russian, Preface by translation editor Fritz John.

    Google Scholar

    [34] L. White, Identification of flexural rigidity in a dynamic plate model, Journal of Mathematical Analysis and Applications, 1989, 144(1), 275-303. doi: 10.1016/0022-247X(89)90373-9

    CrossRef Google Scholar

Figures(5)  /  Tables(6)

Article Metrics

Article views(761) PDF downloads(292) Cited by(0)

Access History

Other Articles By Authors

Catalog

    /

    DownLoad:  Full-Size Img  PowerPoint