2026 Volume 16 Issue 2
Article Contents

Changjin Xu, Ercan Balci. HUNTING COOPERATION AND GESTATION DELAY IN A PREY-PREDATOR MODEL WITH FRACTIONAL DERIVATIVE[J]. Journal of Applied Analysis & Computation, 2026, 16(2): 1035-1053. doi: 10.11948/20250147
Citation: Changjin Xu, Ercan Balci. HUNTING COOPERATION AND GESTATION DELAY IN A PREY-PREDATOR MODEL WITH FRACTIONAL DERIVATIVE[J]. Journal of Applied Analysis & Computation, 2026, 16(2): 1035-1053. doi: 10.11948/20250147

HUNTING COOPERATION AND GESTATION DELAY IN A PREY-PREDATOR MODEL WITH FRACTIONAL DERIVATIVE

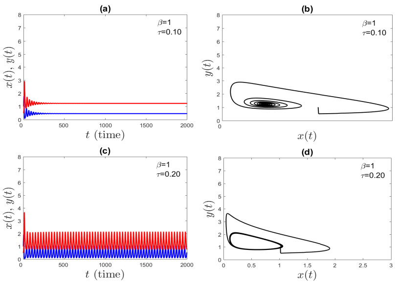
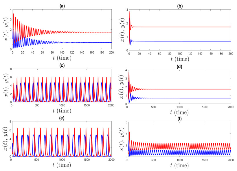
  • Predator-prey dynamics are central to ecological modeling, with the Lotka-Volterra framework serving as a foundational tool for studying these interactions. In this study, we propose a novel fractional-order predator-prey model incorporating cooperative hunting and gestation delays to better capture the complexities of real-world ecosystems. The cooperative hunting mechanism enhances predator efficiency, while gestation delay accounts for the time required for biomass transfer from prey to predator reproduction. Additionally, we integrate fractional derivatives to introduce memory effects, allowing the system to retain past influences on population dynamics. We establish the dynamical analysis of the model. Through numerical simulations, we demonstrate the interplay between cooperation, delay, and memory effects, revealing rich dynamical behaviors.

    MSC: 34A08, 37N25, 92B05, 34K18
  • 加载中
  • [1] M. T. Alves and F. M. Hilker, Hunting cooperation and Allee effects in predators, Journal of Theoretical Biology, 2017, 419, 13–22. doi: 10.1016/j.jtbi.2017.02.002

    CrossRef Google Scholar

    [2] E. Balci, H. Çizmeci, S. Kartal and I. Öztürk, Predator-incited fear weakened by infertility of prey in a prey–predator model with memory effect, International Journal of Biomathematics, 2025, 2450135.

    Google Scholar

    [3] L. Berec, Impacts of foraging facilitation among predators on predator-prey dynamics, Bulletin of Mathematical Biology, 2010, 72, 94–121. doi: 10.1007/s11538-009-9439-1

    CrossRef Google Scholar

    [4] S. Bhalekar and V. Daftardar-Gejji, A predictor-corrector scheme for solving nonlinear delay differential equations of fractional order, J. Fract. Calc. Appl., 2011, 1(5), 1–9.

    Google Scholar

    [5] R. Bshary, A. Hohner, K. Ait-el Djoudi and H. Fricke, Interspecific communicative and coordinated hunting between groupers and giant moray eels in the red sea, PLoS Biology, 2006, 4(12), e431. doi: 10.1371/journal.pbio.0040431

    CrossRef Google Scholar

    [6] F. Capone, M. Carfora, R. De Luca and I. Torcicollo, Turing patterns in a reaction–diffusion system modeling hunting cooperation, Mathematics and Computers in Simulation, 2019, 165, 172–180. doi: 10.1016/j.matcom.2019.03.010

    CrossRef Google Scholar

    [7] M. F. Carfora and I. Torcicollo, A fractional-in-time prey–predator model with hunting cooperation: Qualitative analysis, stability and numerical approximations, Axioms, 2021, 10(2), 78. doi: 10.3390/axioms10020078

    CrossRef Google Scholar

    [8] B. Chhetri, D. S. S. M. Kanumoori and D. Vamsi, Influence of gestation delay and the role of additional food in holling type iii predator–prey systems: A qualitative and quantitative investigation, Modeling Earth Systems and Environment, 2021, 7, 897–915. doi: 10.1007/s40808-020-01042-y

    CrossRef Google Scholar

    [9] W. Deng, C. Li and J. Lü, Stability analysis of linear fractional differential system with multiple time delays, Nonlinear Dynamics, 2007, 48, 409–416. doi: 10.1007/s11071-006-9094-0

    CrossRef Google Scholar

    [10] K. Diethelm, N. J. Ford and A. D. Freed, A predictor-corrector approach for the numerical solution of fractional differential equations, Nonlinear Dynamics, 2002, 29, 3–22. doi: 10.1023/A:1016592219341

    CrossRef Google Scholar

    [11] Y. Enatsu, J. Roy and M. Banerjee, Hunting cooperation in a prey–predator model with maturation delay, Journal of Biological Dynamics, 2024, 18(1), 2332279. doi: 10.1080/17513758.2024.2332279

    CrossRef Google Scholar

    [12] K. Ghosh, S. Biswas, S. Samanta, et al., Effect of multiple delays in an eco-epidemiological model with strong allee effect, International Journal of Bifurcation and Chaos, 2017, 27(11), 1750167. doi: 10.1142/S021812741750167X

    CrossRef Google Scholar

    [13] J. Gupta, J. Dhar and P. Sinha, Effect of multiple gestation delays in a prey–predator food chain system with infected class of prey, SeMA Journal, 2024, 1–21.

    Google Scholar

    [14] D. P. Hector, Cooperative hunting and its relationship to foraging success and prey size in an avian predator, Ethology, 1986, 73(3), 247–257. doi: 10.1111/j.1439-0310.1986.tb00915.x

    CrossRef Google Scholar

    [15] H. -L. Li, L. Zhang, C. Hu, et al., Dynamical analysis of a fractional-order predator-prey model incorporating a prey refuge, Journal of Applied Mathematics and Computing, 2017, 54, 435–449. doi: 10.1007/s12190-016-1017-8

    CrossRef Google Scholar

    [16] P. Li, R. Gao, C. Xu, et al., Dynamics exploration for a fractional-order delayed zooplankton–phytoplankton system, Chaos, Solitons & Fractals, 2023, 166, 112975.

    Google Scholar

    [17] X. Li and R. Wu, Hopf bifurcation analysis of a new commensurate fractional-order hyperchaotic system, Nonlinear Dynamics, 2014, 78, 279–288. doi: 10.1007/s11071-014-1439-5

    CrossRef Google Scholar

    [18] Y. Li, Y. Chen and I. Podlubny, Stability of fractional-order nonlinear dynamic systems: Lyapunov direct method and generalized mittag–leffler stability, Computers & Mathematics with Applications, 2010, 59(5), 1810–1821.

    Google Scholar

    [19] L. Lu, C. Huang and X. Song, Bifurcation control of a fractional-order pd control strategy for a delayed fractional-order prey–predator system, The European Physical Journal Plus, 2023, 138(1), 1–11. doi: 10.1140/epjp/s13360-022-03580-z

    CrossRef Google Scholar

    [20] D. W. Macdonald, The ecology of carnivore social behaviour, Nature, 1983, 301(5899), 379–384. doi: 10.1038/301379a0

    CrossRef Google Scholar

    [21] S. Manikandan, D. Vivek, K. Kanagarajan and E. Elsayed, Existence and stability for a boundary value problem of Ambartsumian equation with -Hilfer generalized proportional fractional derivative, Boletim da Sociedade Paranaense de Matematica, 2025, 43, 1–14.

    Google Scholar

    [22] H. Mollah and S. Sarwardi, Effect of fear on an epidemic model with gestation delay and disease in predator population, Differential Equations and Dynamical Systems, 2025, 1–27.

    Google Scholar

    [23] S. Pal, N. Pal, S. Samanta and J. Chattopadhyay, Effect of hunting cooperation and fear in a predator-prey model, Ecological Complexity, 2019, 39, 100770. doi: 10.1016/j.ecocom.2019.100770

    CrossRef Google Scholar

    [24] I. Petráš, Fractional-Order Nonlinear Systems: Modeling, Analysis and Simulation, Springer Science & Business Media, 2011.

    Google Scholar

    [25] I. Podlubny, Fractional Differential Equations: An Introduction to Fractional Derivatives, Fractional Differential Equations, to Methods of their Solution and some of their Applications, Elsevier, 1998.

    Google Scholar

    [26] K. Vishwakarma, Dynamics of a predator–prey model with maturation delay and hunting cooperation in predator, International Journal of Applied and Computational Mathematics, 2025, 11(2), 1–25.

    Google Scholar

    [27] R. Vivek, K. Kanagarajan, D. Vivek, et al., An exploration of the qualitative analysis of the generalized pantograph equation with the q-Hilfer fractional derivative, Fractal and Fractional, 2025, 9(5), 302. doi: 10.3390/fractalfract9050302

    CrossRef Google Scholar

    [28] R. Vivek, D. Vivek, K. Kanagarajan and E. Elsayed, On the impulsive tempered -Hilfer fuzzy fractional differential equations with delay, Differential Equations & Applications, 2024, 279–304.

    Google Scholar

    [29] S. X. Wu and X. Y. Meng, Hopf bifurcation analysis of a multiple delays stage-structure predator-prey model with refuge and cooperation, Electronic Research Archive, 2025, 33(2).

    Google Scholar

    [30] C. Xu, W. Zhang, C. Aouiti, et al., Bifurcation insight for a fractional-order stage-structured predator–prey system incorporating mixed time delays, Mathematical Methods in the Applied Sciences, 2023, 46(8), 9103–9118. doi: 10.1002/mma.9041

    CrossRef Google Scholar

    [31] A. Yousef, A. A. Thirthar, A. L. Alaoui, et al., The hunting cooperation of a predator under two prey's competition and fear-effect in the prey-predator fractional-order model, AIMS Math., 2022, 7(4), 5463–5479. doi: 10.3934/math.2022303

    CrossRef Google Scholar

Figures(7)

Article Metrics

Article views(735) PDF downloads(220) Cited by(0)

Access History

Other Articles By Authors

Catalog

    /

    DownLoad:  Full-Size Img  PowerPoint