2020 Volume 10 Issue 5
Article Contents

Pengyan Liu, Hong-Xu Li. GLOBAL STABILITY OF AUTONOMOUS AND NONAUTONOMOUS HEPATITIS B VIRUS MODELS IN PATCHY ENVIRONMENT[J]. Journal of Applied Analysis & Computation, 2020, 10(5): 1771-1799. doi: 10.11948/20190191
Citation: Pengyan Liu, Hong-Xu Li. GLOBAL STABILITY OF AUTONOMOUS AND NONAUTONOMOUS HEPATITIS B VIRUS MODELS IN PATCHY ENVIRONMENT[J]. Journal of Applied Analysis & Computation, 2020, 10(5): 1771-1799. doi: 10.11948/20190191

GLOBAL STABILITY OF AUTONOMOUS AND NONAUTONOMOUS HEPATITIS B VIRUS MODELS IN PATCHY ENVIRONMENT

  • Corresponding author: Email address:hoxuli@scu.edu.cn(H. Li)
  • Fund Project: Supported by the National Natural Science Foundation of China (Nos. 11971329 and 11561077)
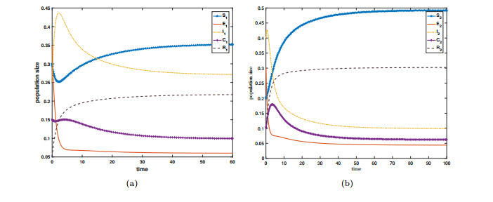
  • Autonomous and nonautonomous hepatitis B virus infection models in patchy environment are investigated respectively to illustrate the influences of population migration and almost periodicity for infection rate on the spread of hepatitis B virus. The basic reproduction number is determined and asymptotic stabilities of disease-free and endemic equilibria are established in case of autonomous system. Moreover, in the nonautonomous system case, existence and global attractivity of almost periodic solution for this system are studied. Finally, feasibility of main theoretical results is showed with the aid of numerical examples for model with two patches.
    MSC: 34D23, 34C60, 37B55, 39A24
  • 加载中
  • [1] A. Berman and R. J. Plemmons, Nonnegative matrices in mathematical sciences, Academic Press, New York, 1979.

    Google Scholar

    [2] N. P. Bhatia and G. P. Szego, Dynamical systems: stability theory and applications, Lecture Notes in Mathematics, Springer, Berlin, 1967.

    Google Scholar

    [3] C. Castillo-Chavez and H. R. Thieme, Asymptotically autonomous epidemic models, Mathematical Population Dynamics: Analysis and Heterogeneity. Volume One: Theory of epidemics, Wuerz Publishing Ltd, Winnipeg, 1995.

    Google Scholar

    [4] C. Dai, A. Fan and K. Wang, Transmission dynamics and the control of hepatitis B in China: a population dynamics view, J. Appl. Anal. Comput., 2016, 6(1), 76-93.

    Google Scholar

    [5] M. C. Eisenberg, Z. Shuai, J. H. Tien and et al., A cholera model in a patchy environment with water and human movement, Math. Biosci., 2013, 246(1), 105-112.

    Google Scholar

    [6] A. M. Fink, Almost periodic differential equations, 377 of Lecture Notes in Mathematics, Springer-Verlag, New York, 1974.

    Google Scholar

    [7] H. I. Freedman, S. Ruan and M. Tang, Uniform persistence and flows near a closed positively invariant set, J. Dynam. Differential Equations, 1994, 6(4), 583-600. doi: 10.1007/BF02218848

    CrossRef Google Scholar

    [8] R. Gorenflo, A. A. Kilbas, F. Mainardi and et al., Mittag-Leffler functions, related topics and applications, Springer Monographs in Mathematics, Springer, Berlin, 2014.

    Google Scholar

    [9] Q. Huan, P. Ning and W. Ding, Global stability for a dynamic model of hepatitis B with antivirus treatment, J. Appl. Anal. Comput., 2013, 3(1), 37-50.

    Google Scholar

    [10] C. Huang, Y. Qiao, L. Huang and et al., Dynamical behaviors of a food-chain model with stage structure and time delays, Adv. Difference Equ., 2018, 2018, 186. doi: 10.1186/s13662-018-1589-8

    CrossRef Google Scholar

    [11] C. Huang, R. Su, J. Cao and et al., Asymptotically stable high-order neutral cellular neural networks with proportional delays and D operators, Math. Comput. Simulation, 2020, 171, 127-135. doi: 10.1016/j.matcom.2019.06.001

    CrossRef Google Scholar

    [12] C. Huang, H. Zhang, J. Cao and et al., Stability and Hopf bifurcation of a delayed prey-predator model with disease in the predator, Internat. J. Bifur. Chaos Appl. Sci. Engrg., 2019, 29(7), 1950091. doi: 10.1142/S0218127419500913

    CrossRef Google Scholar

    [13] C. Huang, H. Zhang and L. Huang, Almost periodicity analysis for a delayed Nicholson's blowflies model with nonlinear density-dependent mortality term, Commun. Pure Appl. Anal., 2019, 18(6), 3337-3349. doi: 10.3934/cpaa.2019150

    CrossRef Google Scholar

    [14] K. E. Jones, N. G. Patel, M. A. Levy and et al., Global trends in emerging infectious diseases, Nature, 2008, 451, 990-993. doi: 10.1038/nature06536

    CrossRef Google Scholar

    [15] A. V. Kamyad, R. Akbari, A. A. Heydari and et al., Mathematical modeling of transmission dynamics and optimal control of vaccination and treatment for hepatitis B virus, Comput. Math. Methods Med., 2014. DOI: 10.1155/2014/475451.

    CrossRef Google Scholar

    [16] M. A. Khan, S. Islam and G. Zaman, Media coverage campaign in hepatitis B transmission model, Appl. Math. Comput., 2018, 331, 378-393.

    Google Scholar

    [17] T. Khan, G. Zaman and M. I. Chohan, The transmission dynamic and optimal control of acute and chronic hepatitis B, J. Biol. Dyn., 2016, 11(1), 172-189.

    Google Scholar

    [18] M. Kot, Elements of mathematical ecology, Cambridge University Press, Cambridge, 2001.

    Google Scholar

    [19] Y. Li and T. Zhang, Existence and multiplicity of positive almost periodic solutions for a non-autonomous SIR epidemic model, Bull. Malays. Math. Sci. Soc., 2016, 39(1), 359-379. doi: 10.1007/s40840-015-0176-3

    CrossRef Google Scholar

    [20] P. Liu, L. Zhang, S. Liu and et al., Global exponential stability of almost periodic solutions for Nicholson's blowflies system with nonlinear density dependent mortality terms and patch structure, Math. Model. Anal., 2017, 22(4), 484-502.

    Google Scholar

    [21] Y. Muroya, T. Kuniya and J. Wang, Stability analysis of a delayed multi-group SIS epidemic model with nonlinear incidence rates and patch structure, J. Math. Anal. Appl., 2015, 425(1), 415-439. doi: 10.1016/j.jmaa.2014.12.019

    CrossRef Google Scholar

    [22] Polaris Observatory Collaborators, Global prevalence, treatment, and prevention of hepatitis B virus infection in 2016: a modelling study, Lancet Gastroenterol Hepatol., 2018, 3, 383-403.

    Google Scholar

    [23] S. Ruan, W. Wang and A. L. Simon, The effect of global travel on the spread of SARS, Math. Biosci. Eng., 2006, 3(1), 205-218. doi: 10.3934/mbe.2006.3.205

    CrossRef Google Scholar

    [24] H. L. Smith and P. Waltman, The theory of the chemostat: dynamics of microbial competition, Cambridge studies in mathematical biology, Cambridge University Press, Cambridge, 1995.

    Google Scholar

    [25] H. R. Thieme, Convergence results and a Poincaré-Bendixson trichotomy for asymptotically autonomous differential equations, J. Math. Biol., 1992, 30(7), 755-763.

    Google Scholar

    [26] J. P. Tripathi and S. Abbas, Global dynamics of autonomous and nonautonomous SI epidemic models with nonlinear incidence rate and feedback controls, Nonlinear Dynam., 2016, 86(1), 337-351. doi: 10.1007/s11071-016-2892-0

    CrossRef Google Scholar

    [27] S. Ullah, M. A. Khan and M. Farooq, A new fractional model for the dynamics of the hepatitis B virus using the Caputo-Fabrizio derivative, Eur. Phys. J. Plus, 2018, 133(6). Article-Number: 237.

    Google Scholar

    [28] S. Ullah, M. A. Khan and M. Farooq, Modeling and analysis of the fractional HBV model with Atangana-Baleanu derivative, Eur. Phys. J. Plus, 2018, 133(8). Article-Number: 313.

    Google Scholar

    [29] S. Ullah, M. A. Khan and J. F. Gomez-Aguilar, Mathematical formulation of hepatitis B virus with optimal control analysis, Optimal Control Appl. Methods, 2019, 40(3), 529-544. doi: 10.1002/oca.2493

    CrossRef Google Scholar

    [30] P. Van den Driessche and J. Watmough, Reproduction numbers and sub-threshold endemic equilibria for compartmental models of disease transmission, Math. Biosci., 2002, 180(1-2), 29-48. doi: 10.1016/S0025-5564(02)00108-6

    CrossRef Google Scholar

    [31] B. Wang and X. Zhao, Basic reproduction ratios for almost periodic compartmental epidemic models, J. Dynam. Differential Equations, 2013, 25(2), 535-562. doi: 10.1007/s10884-013-9304-7

    CrossRef Google Scholar

    [32] J. Wang and X. Tian, Global stability of a delay differential equation of hepatitis B virus infection with immune response, Electron. J. Differential Equations, 2013, 2013(94), 204-220.

    Google Scholar

    [33] W. Wang and X. Zhao, An epidemic model in a patchy environment., Math. Biosci., 2004, 190(1), 97-112.

    Google Scholar

    [34] X. Wang, Z. Yang and X. Liu, Periodic and almost periodic oscillations in a delay differential equation system with time-varying coefficients, Discrete Contin. Dyn. Syst., 2017, 37(12), 6123-6138. doi: 10.3934/dcds.2017263

    CrossRef Google Scholar

    [35] Y. Wang, Asymptotic state of a two-patch system with infinite diffusion, Bull. Math. Biol., 2019, 81(6), 1665-1686. doi: 10.1007/s11538-019-00582-4

    CrossRef Google Scholar

    [36] J. Zhang and S. Zhang, Application and optimal control for an HBV model with vaccination and treatment, Discrete Dyn. Nat. Soc., 2018. DOI: 10.1155/2018/2076983.

    CrossRef Google Scholar

Figures(5)  /  Tables(1)

Article Metrics

Article views(4423) PDF downloads(1081) Cited by(0)

Access History

Other Articles By Authors

Catalog

    /

    DownLoad:  Full-Size Img  PowerPoint