2026 Volume 16 Issue 2
Article Contents

Hailong Yuan, Yani Ma, Yanfei Dai. BIFURCATION AND SPATIOTEMPORAL PATTERNS IN A HOMOGENEOUS DIFFUSIVE GIERER-MEINHARDT SYSTEM[J]. Journal of Applied Analysis & Computation, 2026, 16(2): 860-894. doi: 10.11948/20230330
Citation: Hailong Yuan, Yani Ma, Yanfei Dai. BIFURCATION AND SPATIOTEMPORAL PATTERNS IN A HOMOGENEOUS DIFFUSIVE GIERER-MEINHARDT SYSTEM[J]. Journal of Applied Analysis & Computation, 2026, 16(2): 860-894. doi: 10.11948/20230330

BIFURCATION AND SPATIOTEMPORAL PATTERNS IN A HOMOGENEOUS DIFFUSIVE GIERER-MEINHARDT SYSTEM

  • Author Bio: Email: 1360469187@qq.com(Y. Ma); Email: gnsydyf@126.com(Y. Dai)
  • Corresponding author: Email: yuanhailong@sust.edu.cn(H. Yuan) 
  • Fund Project: This authors were supported by the National Natural Science Foundation of China (11901370, 12301215), Natural Science Basic Research Plan in Shannxi Province (2019JQ516), Natural Science Foundation of Shaanxi Provincial Department of Education grant (19JK0142), Natural Science Foundation of China (2019M653578), Shaanxi Provincial Association for Science and Technology, China (20200508), and Zhejiang Provincial Natural Science Foundation of China (LQ23A010009)
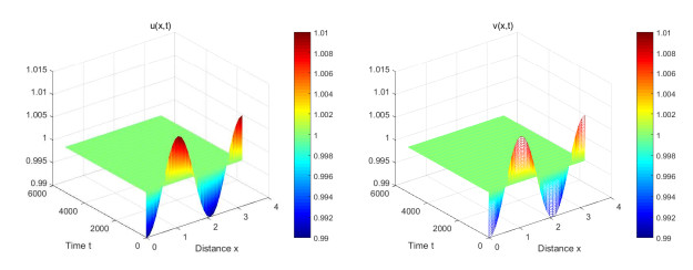
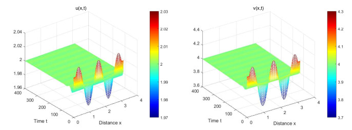
  • This paper investigates an activator-inhibitor system with diffusion under homogeneous Neumann boundary conditions. Firstly, we consider the Hopf bifurcation at the positive equilibrium, and obtain the conditions for determining the bifurcation direction and stability of the bifurcating periodic solutions. Secondly, we demonstrate that the system undergoes a Turing-Hopf bifurcation with codimension-two. By calculating the normal form on the center manifold, we show that the system has the complex spatiotemporal dynamics near the Turing-Hopf bifurcation point. Moreover, the Turing instability of the positive equilibrium is discussed. By the bifurcation theory, we establish the local structure of the steady state bifurcations, and describe some conditions for determining the direction of bifurcations. Finally, some numerical simulations are carried out to explain and supplement the results of various bifurcation analyses.

    MSC: 35K57
  • 加载中
  • [1] A. Benjamin, Bifurcation analysis and steady-state patterns in reaction-diffusion systems augmented with self- and cross-diffusion, Int. J. Bifurcat. Chaos, 2023, 33(9), 2350102. doi: 10.1142/S021812742350102X

    CrossRef Google Scholar

    [2] S. Chen and J. Shi, Global attractivity of equilibrium in Gierer-Meinhardt system with activator production saturation and gene expression time delays, Nonlinear Anal.: Real World Appl., 2013, 14(4), 1871–1886. doi: 10.1016/j.nonrwa.2012.12.004

    CrossRef Google Scholar

    [3] S. Chen, J. Shi and J. Wei, Bifurcation analysis of the Gierer-Meinhardt system with a saturation in the activator production, Appl. Anal., 2014, 93(6), 1115–1134. doi: 10.1080/00036811.2013.817559

    CrossRef Google Scholar

    [4] M. Crandall and P. Rabinowitz, Bifurcation from simple eigenvalues, J. Funct. Anal., 1971, 8(2), 321–340. doi: 10.1016/0022-1236(71)90015-2

    CrossRef Google Scholar

    [5] X. Gao, Y. Cai, F. Rao, S. Fu and W. Wang, Positive steady states in an epidemic model with nonlinear incidence rate, Comput. Math. Appl., 2018,424–443.

    Google Scholar

    [6] A. H. Gierer and H. Meinhardt, A theory of biological pattern formation, Kybernetik, 1972, 12, 30–39. doi: 10.1007/BF00289234

    CrossRef Google Scholar

    [7] P. Gonpot, J. Collet and N. Sookia, Gierer-Meinhardt model: Bifurcation analysis and pattern formation, Trends Appl. Sci. Res., 2008, 3,115–128. doi: 10.3923/tasr.2008.115.128

    CrossRef Google Scholar

    [8] W. Jiang, Q. An and J. Shi, Formulation of the normal form of Turing-Hopf bifurcation in partial functional differential equations, J. Dyn. Differ. Equ., 2020,268(10), 6067–6102. doi: 10.1016/j.jde.2019.11.039

    CrossRef Google Scholar

    [9] W. Jiang, H. Wang and X. Cao, Turing instability and Turing-Hopf bifurcation in diffusive Schnakenberg systems with gene expression time delay, J. Dyn. Differ. Equ., 2019, 31(4), 2223–2247. doi: 10.1007/s10884-018-9702-y

    CrossRef Google Scholar

    [10] J. Jin, J. Shi and J. Wei, Bifurcations of patterned solutions in the diffusive Lengyel-Epstein system of CIMA chemical reactions, Rocky. Mt. J. Math., 2013, 43(5), 1637–1674.

    Google Scholar

    [11] F. Karami, D. Meskine and K. Sadik, A new nonlocal model for the restoration of textured images, J. Appl. Anal. Comput., 2019, 9(6), 2070–2095.

    Google Scholar

    [12] Q. Li, L. Zhang and P. Zhou, Global bifurcation for a class of Lotka-Volterra competitive systems, Journal of Nonlinear Modeling and Analysis, 2023, 5(4), 720–739.

    Google Scholar

    [13] Y. Li, J. Wang and X. Hou, Stripe and spot patterns for the Gierer-Meinhardt model with saturated activator production, J. Math. Anal. Appl., 2017,449(2), 1863–1879. doi: 10.1016/j.jmaa.2017.01.019

    CrossRef Google Scholar

    [14] J. Liu, F. Yi and J. Wei, Multiple bifurcation analysis and spatiotemporal patterns in a 1-D Gierer-Meinhardt model of morphogenesis, Int. J. Bifurcat. Chaos, 2010, 20(4), 1007–1025. doi: 10.1142/S0218127410026289

    CrossRef Google Scholar

    [15] K. Morimoto, On positive solutions generated by semi-strong saturation effect for the Gierer-Meinhardt system, J. Math. Soc. Japan., 2013, 65(3), 887–929.

    Google Scholar

    [16] R. Moyles and J. Ward, Existence, stability, and dynamics of ring and near-ring solutions to the saturated Gierer-Meinhardt model in the semistrong regime, SIAM J. Appl. Dyn. Syst., 2017, 16(1), 597–639. doi: 10.1137/16M1060327

    CrossRef Google Scholar

    [17] J. Murray, Parameter space for turing instability in reaction diffusion mechanisms: A comparison of models, J. Theor. Biol., 1982, 98(1), 143–163. doi: 10.1016/0022-5193(82)90063-7

    CrossRef Google Scholar

    [18] P. A. Naik, J. Zu and M. Ghoreishi, Stability analysis and approximate solution of SIR epidemic model with Crowley-Martin type functional response and Holling type-Ⅱ treatment rate by using homotopy analysis method, J. Appl. Anal. Comput., 2020, 10(4), 1482–1515.

    Google Scholar

    [19] J. Shi, Persistence and bifurcation of degenerate solutions, J. Funct. Anal., 1999,169(2), 494–531. doi: 10.1006/jfan.1999.3483

    CrossRef Google Scholar

    [20] Y. Song, R. Yang and G. Sun, Pattern dynamics in a Gierer-Meinhardt model with a saturating term, Appl. Math. Model., 2017, 46,476–491. doi: 10.1016/j.apm.2017.01.081

    CrossRef Google Scholar

    [21] Y. Song and T. Zhang, Spatial pattern formations in diffusive predator-prey systems with non-homogeneous Dirichlet boundary conditions, J. Appl. Anal. Comput., 2020, 10(1), 165–177.

    Google Scholar

    [22] Y. Song, T. Zhang and Y. Peng, Turing-Hopf bifurcation in the reaction-diffusion equations and its applications, Commun. Nonlinear. Sci., 2016, 33(4), 229–258.

    Google Scholar

    [23] A. Suleiman, Stability analysis of the Gierer-Meinhardt system with activator degradation, Dutse. J. Pure. Appl. Sci., 2016, 2(1), 48–54.

    Google Scholar

    [24] A. Sun, R. Wu and M. Chen, Turing-Hopf bifurcation analysis in a diffusive Gierer-Meinhardt model, AIMS Math., 2021, 6(2), 1920–1942. doi: 10.3934/math.2021117

    CrossRef Google Scholar

    [25] J. Wang, X. Hou and Z. Jing, Stripe and spot patterns in a Gierer-Meinhardt activator-inhibitor model with different sources, Int. J. Bifurcat. Chaos, 2016, 25(8), 108–155.

    Google Scholar

    [26] J. Wei and M. Winter, On the Gierer-Meinhardt system with saturation, Commun. Contemp. Math., 2004, 6(2), 259–277. doi: 10.1142/S021919970400132X

    CrossRef Google Scholar

    [27] R. Wu, Y. Zhou, Y. Shao and L. Chen, Bifurcation and turing patterns of reaction-diffusion activator-inhibitor model, Physica. A, 2017,482,597–610. doi: 10.1016/j.physa.2017.04.053

    CrossRef Google Scholar

    [28] X. Yan, Y. Ding and G. Zhang, Dynamics analysis in a Gierer-Meinhardt reaction-diffusion model with homogeneous Neumann boundary condition, Int. J. Bifurcat. Chaos., 2019, 9(29), 1930025.

    Google Scholar

    [29] R. Yang and Y. Song, Spatial resonance and Turing-Hopf bifurcations in the Gierer-Meinhardt model, Nonlinear Anal.: Real World Appl., 2016, 31,356–387. doi: 10.1016/j.nonrwa.2016.02.006

    CrossRef Google Scholar

    [30] M. Yari, Transitions and heteroclinic cycles in the general Gierer-Meinhardt equation and cardiovascular calcification model, Nonlinear. Anal-Theor., 2010, 73(5), 1160–1174. doi: 10.1016/j.na.2010.04.031

    CrossRef Google Scholar

    [31] F. Yi, J. Wei and J. Shi, Bifurcation and spatiotemporal patterns in a homogeneous diffusive predator-prey system, J. Dyn. Differ. Equ., 2009,246(5), 1944–1977. doi: 10.1016/j.jde.2008.10.024

    CrossRef Google Scholar

    [32] K. Zhao, Solvability, approximation and stability of periodic boundary value problem for a nonlinear Hadamard fractional differential equation with p-Laplacian, Axioms, 2023, 12(8), 733. doi: 10.3390/axioms12080733

    CrossRef Google Scholar

    [33] K. Zhao, Stability of a nonlinear fractional Langevin system with nonsingular exponential kernel and delay control, Discrete. Dyn. Nat. Soc., 2022, 9169185.

    Google Scholar

    [34] K. Zhao, Existence and UH-stability of integral boundary problem for a class of nonlinear higher-order Hadamard fractional Langevin equation via Mittag-Leffler functions, Filomat, 2023, 37(4), 1053–1063. doi: 10.2298/FIL2304053Z

    CrossRef Google Scholar

    [35] K. Zhao, Stability of a nonlinear Langevin system of ML-type fractional derivative affected by time-varying delays and differential feedback control, Fractal. Fract., 2022, 6(12), 725. doi: 10.3390/fractalfract6120725

    CrossRef Google Scholar

    [36] K. Zhao, Probing the oscillatory behavior of internet game addiction via diffusion PDE model, Axioms, 2022, 11(11), 649. doi: 10.3390/axioms11110649

    CrossRef Google Scholar

    [37] K. Zhao, Global stability of a novel nonlinear diffusion online game addiction model with unsustainable control, AIMS Mathematics, 2022, 7(12), 20752–20766. doi: 10.3934/math.20221137

    CrossRef Google Scholar

    [38] K. Zhao, Attractor of a nonlinear hybrid reaction-diffusion model of neuroendocrine transdifferentiation of human prostate cancer cells with time-lags, AIMS Mathematics, 2023, 8(6), 14426–14448. doi: 10.3934/math.2023737

    CrossRef Google Scholar

    [39] K. Zhao, Generalized UH-stability of a nonlinear fractional coupling $(p_1, p_2)$-Laplacian system concerned with nonsingular Atangana-Baleanu fractional calculus, J. Inequal. Appl., 2023, 96.

    $(p_1, p_2)$-Laplacian system concerned with nonsingular Atangana-Baleanu fractional calculus" target="_blank">Google Scholar

Figures(14)

Article Metrics

Article views(856) PDF downloads(190) Cited by(0)

Access History

Other Articles By Authors

Catalog

    /

    DownLoad:  Full-Size Img  PowerPoint