2026 Volume 16 Issue 2
Article Contents

Xiangting Hu, Aiguo Xiao, Xinjie Dai, Mengjie Wang. MITTAG-LEFFLER EULER-MARUYAMA METHOD FOR LINEAR STOCHASTIC VOLTERRA INTEGRAL EQUATIONS WITH WEAKLY SINGULAR KERNELS[J]. Journal of Applied Analysis & Computation, 2026, 16(2): 895-915. doi: 10.11948/20250132
Citation: Xiangting Hu, Aiguo Xiao, Xinjie Dai, Mengjie Wang. MITTAG-LEFFLER EULER-MARUYAMA METHOD FOR LINEAR STOCHASTIC VOLTERRA INTEGRAL EQUATIONS WITH WEAKLY SINGULAR KERNELS[J]. Journal of Applied Analysis & Computation, 2026, 16(2): 895-915. doi: 10.11948/20250132

MITTAG-LEFFLER EULER-MARUYAMA METHOD FOR LINEAR STOCHASTIC VOLTERRA INTEGRAL EQUATIONS WITH WEAKLY SINGULAR KERNELS

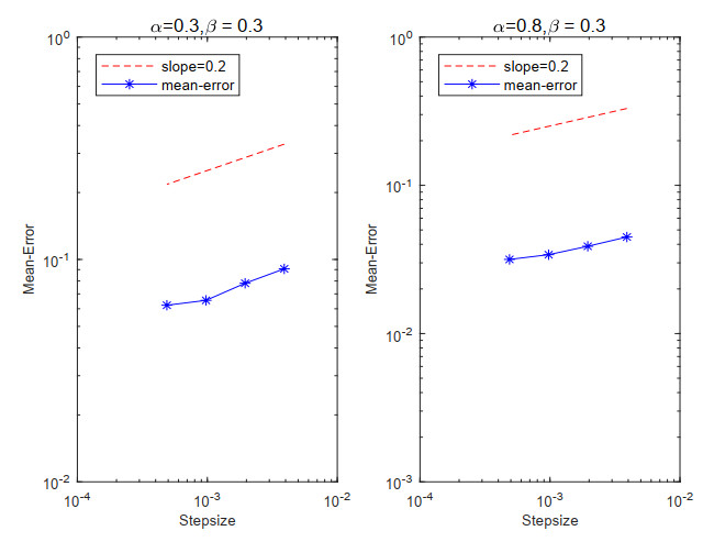
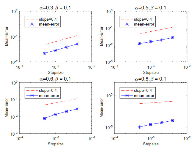
  • This paper reconsiders the linear stochastic Volterra integral equations with weakly singular kernels. For the equivalent form of the underlying equation, we propose the improved version of the existing mean-square asymptotical stability result for the exact solution. Moreover, some new or improved results are obtained for the Mittag-Leffler Euler–Maruyama method for the equations, and it is shown that the method shares sharp strong convergence with order $ 1/2-\beta $ and carries preferable stability. The numerical examples are performed to show the accuracy and effectiveness of the numerical scheme and verify the correctness of the theoretical analysis.

    MSC: 60H20, 60H35, 65C30
  • 加载中
  • [1] T. Abdeljawad and D. Baleanu, Discrete fractional differences with nonsingular discrete Mittag-Leffler kernels, Adv. Differ. Equ., 2016, 2016,232. doi: 10.1186/s13662-016-0949-5

    CrossRef Google Scholar

    [2] A. Alfonsi and A. Kebaier, Approximation of stochastic Volterra equations with kernels of completely monotone type, J. Comput. Math., 2024, 93(346), 643–677.

    Google Scholar

    [3] P. Anh, T. Doan and P. Huong, A variation of constant formula for Caputo fractional stochastic differential equations, Statist. Probab. Lett., 2019,145,351–358. doi: 10.1016/j.spl.2018.10.010

    CrossRef Google Scholar

    [4] Y. Cao and R. Zhang, A stochastic collocation method for stochastic Volterra equations of the second kind, J. Integral Equ. Appl., 2015, 27(1), 1–25.

    Google Scholar

    [5] D. Conte, R. D'Ambrosio and B. Paternoster, Improved θ-methods for stochastic Volterra integral equations, Commun. Nonlinear Sci. Numer. Simul., 2021, 93, 105528. doi: 10.1016/j.cnsns.2020.105528

    CrossRef Google Scholar

    [6] X. Dai and A. Xiao, Lévy-driven stochastic Volterra integral equations with doubly singular kernels: Existence, uniqueness, and a fast EM method, Adv. Comput. Math., 2020, 46, 29. doi: 10.1007/s10444-020-09780-4

    CrossRef Google Scholar

    [7] K. Diethelm, The Analysis of Fractional Differential Equations: An Application-Oriented Exposition using Differential Operators of Caputo Type, in: Lecture Notes in Mathematics, Springer, 2010.

    Google Scholar

    [8] T. Doan, P. Huong, P. Kloeden and A. Vu, Euler-Maruyama scheme for Caputo stochastic fractional differential equations, J. Comput. Appl. Math., 2020,380, 112989. doi: 10.1016/j.cam.2020.112989

    CrossRef Google Scholar

    [9] B. Duan and Z. Zhang, A rational approximation scheme for computing Mittag-Leffler function with discrete elliptic operator as input, J. Sci. Comput., 2021, 87(3), 1–20.

    Google Scholar

    [10] J. Gao, H. Liang and S. Ma, Strong convergence of the semi-implicit Euler method for nonlinear stochastic Volterra integral equations with constant delay, J. Comput. Appl. Math., 2019,348,385–398. doi: 10.1016/j.amc.2018.10.025

    CrossRef Google Scholar

    [11] R. Gorenflo, A. Kilbas, F. Mainardi and S. Rogosin, Mittag-Leffler Functions: Related Topics and Applications, Springer, 2020.

    Google Scholar

    [12] M. Heydari, M. Mahmoudi, A. Shakiba and Z. Avazzadeh, Chebyshev cardinal wavelets and their application in solving nonlinear stochastic differential equations with fractional Brownian motion, Commun. Nonlinear Sci. Numer. Simul., 2018, 64, 98–121. doi: 10.1016/j.cnsns.2018.04.018

    CrossRef Google Scholar

    [13] E. Jaber and O. Euch, Multifactor approximation of rough volatility models, SIAM J. Financ. Math., 2018, 10(2), 309–349.

    Google Scholar

    [14] A. Khalaf, M. Abouagwa, A. Mustafa and X. Wang, Stochastic Volterra integral equations with jumps and the strong superconvergence of the Euler-Maruyama approximation, J. Comput. Appl. Math., 2021,382, 113071. doi: 10.1016/j.cam.2020.113071

    CrossRef Google Scholar

    [15] P. Kloeden and E. Platen, Numerical Solution of Stochastic Differential Equations, Springer, 1992.

    Google Scholar

    [16] M. R. Lemnaouar, Existence and k-Mittag Leffler Ulam stabilities of implicit pantograph differential equation via-Hilfer fractional derivative, J. Appl. Math. Comput., 2025, 71, 1341–1360. doi: 10.1007/s12190-024-02278-y

    CrossRef Google Scholar

    [17] K. Li and J. Peng, Laplace transform and fractional differential equations, Appl. Math. Lett., 2011, 24, 2019–2023. doi: 10.1016/j.aml.2011.05.035

    CrossRef Google Scholar

    [18] L. Li, J. Liu and J. Lu, Fractional stochastic differential equations satisfying fluctuation-dissipation theorem, J. Stat. Phys., 2017,169,316–339. doi: 10.1007/s10955-017-1866-z

    CrossRef Google Scholar

    [19] M. Li, Ch. Huang and Y. Hu, Numerical methods for stochastic Volterra integral equations with weakly singular kernels, IMA J. Numer. Anal., 2022, 42, 2656–2683. doi: 10.1093/imanum/drab047

    CrossRef Google Scholar

    [20] H. Liang, Z. Yang and J. Gao, Strong superconvergence of the Euler-Maruyama method for linear stochastic Volterra integral equations, J. Comput. Appl. Math., 2017,317,447–457. doi: 10.1016/j.cam.2016.11.005

    CrossRef Google Scholar

    [21] W. Mclean, Numerical evaluation of Mittag-Leffler functions, Calcolo, 2020, 58, 7.

    Google Scholar

    [22] G. Milstein and M. Tretyakov, Stochastic Numerics for Mathematical Physics, Springer, 2004.

    Google Scholar

    [23] P. Mohammed, On the delta Mittag-Leffler functions and its application in monotonic analysis, J. Comput. Appl. Math., 2025,465, 116565. doi: 10.1016/j.cam.2025.116565

    CrossRef Google Scholar

    [24] H. Ranjbar, Split-step θ integrator for generalized stochastic Volterra integro-differential equations, Math. Comput. Simulation, 2025,233,165–186. doi: 10.1016/j.matcom.2025.01.021

    CrossRef Google Scholar

    [25] I. Sarumi, K. Furati and A. Khaliq, Highly accurate global Padé approximations of generalized Mittag-Leffler function and its inverse, J. Sci. Comput., 2020, 82, 46. doi: 10.1007/s10915-020-01150-y

    CrossRef Google Scholar

    [26] H. Tuan, On the asymptotic behavior of solutions to time-fractional elliptic equations driven a multiplicative white noise, Discrete Contin. Dyn. Syst. Ser. B, 2021, 26(3), 1749–1762.

    Google Scholar

    [27] M. Wang and X. Dai, Fast θ-Maruyama scheme for stochastic Volterra integral equations of convolution type: Mean-square stability and strong convergence analysis, Comput. Appl. Math., 2023, 42,108. doi: 10.1007/s40314-023-02248-3

    CrossRef Google Scholar

    [28] Y. Xiao, J. Shi and Z. Yang, Split-step collocation methods for stochastic Volterra integral equations, J. Inequal. Appl., 2018, 30(1), 197–218.

    Google Scholar

    [29] W. Zhang, Convergence and stability of the split-step theta method for a class of stochastic Volterra integro-differential equations driven by Lévy noise, J. Comput. Math., 2024, 42, 1688–1713. doi: 10.4208/jcm.2307-m2022-0194

    CrossRef Google Scholar

    [30] X. Zhang, Euler schemes and large deviations for stochastic Volterra equations with singular kernels, J. Diff. Equ., 2008,244(9), 2226–2250. doi: 10.1016/j.jde.2008.02.019

    CrossRef Google Scholar

Figures(4)

Article Metrics

Article views(844) PDF downloads(322) Cited by(0)

Access History

Other Articles By Authors

Catalog

    /

    DownLoad:  Full-Size Img  PowerPoint