2025 Volume 15 Issue 4
Article Contents

Lijun Chen, Wenshuang Li, Ruiyang Zhou, Fengying Wei. STOCHASTIC SURVIVAL ANALYSIS OF AN EPIDEMIC MODEL WITH INNATE IMMUNITY AND TREATMENT[J]. Journal of Applied Analysis & Computation, 2025, 15(4): 1862-1881. doi: 10.11948/20240180
Citation: Lijun Chen, Wenshuang Li, Ruiyang Zhou, Fengying Wei. STOCHASTIC SURVIVAL ANALYSIS OF AN EPIDEMIC MODEL WITH INNATE IMMUNITY AND TREATMENT[J]. Journal of Applied Analysis & Computation, 2025, 15(4): 1862-1881. doi: 10.11948/20240180

STOCHASTIC SURVIVAL ANALYSIS OF AN EPIDEMIC MODEL WITH INNATE IMMUNITY AND TREATMENT

  • Author Bio: Email: chenlijun101086@163.com(L. Chen); Email: lws1501@163.com(W. Li); Email: ruiyangzhou@outlook.com(R. Zhou)
  • Corresponding author: Email: weifengying@fzu.edu.cn(F. Wei)
  • Fund Project: The authors were supported by Special Projects of the Central Government Guiding Local Science and Technology Development (2021L3018), Consultancy Project by the Chinese Academy of Engineering (2023-JB-12), Fujian Research and Training Grants for Young and Middle-Aged Leaders in Healthcare (202501140018), the Science and Technology Project for Young Teachers of Jin Shan College of Fujian Agriculture and Forestry University (KX230301), the Science and Technology Project of Education Department of Fujian Province of China (JAT210662)
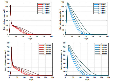
  • The innate immunity helps the individuals in the exposed compartment return into the ones in the susceptible compartment when a pathogen or virus invades the local population of having four compartments: the susceptible, the exposed, the infected and the recovered. In this study, we propose a stochastic SEIR model with innate immunity and treatment. Here, Holling type Ⅱ functional responses are used to describe the saturated effects of the innate immunity and treatment. Then, we obtain the extinction of the exposed and the infected when the basic reproduction number $ \mathcal{R}_0<1 $ and the exponential decline rate $ \nu<0 $ are valid. Moreover, we conclude that when innate immunity and treatment increase, the time that the exposed and the infected approach zero reduces. We also find that the deterministic SEIR model reaches extinction a bit faster than the stochastic SEIR model. Further, the persistence in the mean and stationary distribution of stochastic SEIR model are obtained under suitable conditions. Finally, the numerical investigations with two methods and a case study of Fuzhou COVID-19 epidemic of 2022 are discussed.

    MSC: 60H10, 92B05, 92D30
  • 加载中
  • [1] L. Chen and F. Wei, Persistence and distribution of a stochastic susceptible-infected-recovered epidemic model with varying population size, Physica A, 2017,483,386–397. doi: 10.1016/j.physa.2017.04.114

    CrossRef Google Scholar

    [2] J. Day, J. Rubin, Y. Vodovotz, et al., A reduced mathematical model of the acute inflammatory response Ⅱ. Capturing scenarios of repeated endotoxin administration, J. Theor. Biol., 2006,242(1), 237–256. doi: 10.1016/j.jtbi.2006.02.015

    CrossRef Google Scholar

    [3] Y. Deng and M. Liu, Analysis of a stochastic tumor-immune model with regime switching and impulsive perturbations, Appl. Math. Model., 2020, 78,482–504. doi: 10.1016/j.apm.2019.10.010

    CrossRef Google Scholar

    [4] O. Diekmann, J. Heesterbeek and J. Metz, On the definition and the computation of the basic reproduction ratio $\mathcal{R}_0$ in models for infectious diseases in heterogeneous populations, J. Math. Biol., 1990, 28(4), 365–382.

    $\mathcal{R}_0$ in models for infectious diseases in heterogeneous populations" target="_blank">Google Scholar

    [5] O. Diekmann, J. Heesterbeek and M. Roberts, The construction of next-generation matrices for compartmental epidemic models, J. R. Soc. Interface, 2010, 7(47), 873–885. doi: 10.1098/rsif.2009.0386

    CrossRef Google Scholar

    [6] X. Fan and Z. Wang, Stability analysis of an SEIR epidemic model with stochastic pertubation and numerical simulation, Int. J. Nonlinear Sci. Numer. Simul., 2013, 14(2), 113–121. doi: 10.1515/ijnsns-2012-0054

    CrossRef Google Scholar

    [7] G. Gasteiger, A. Osualdo, D. Schubert, et al., Cellular Innate Immunity: An old game with new players, J. Innate Immun., 2017, 9(2), 111–125. doi: 10.1159/000453397

    CrossRef Google Scholar

    [8] D. Higham, An algorithmic introduction to numerical simulation of stochastic differential equations, SIAM Rev., 2001, 43(3), 525–546. doi: 10.1137/S0036144500378302

    CrossRef Google Scholar

    [9] S. Huang, F. Wei, Z. Peng, et al., Assessment method of coronavirus disease 2019 outbreaks under normal prevention and control, Dis. Surveill., 2020, 35(8), 679–686.

    Google Scholar

    [10] S. Jain and S. Kumar, Dynamical analysis of SEIS model with nonlinear innate immunity and saturated treatment, Eur. Phys. J. Plus, 2021,136(9), 952. doi: 10.1140/epjp/s13360-021-01944-5

    CrossRef Google Scholar

    [11] A. Kaddar, A. Abta and T. Alaoui, A comparison of delayed SIR and SEIR epidemic models, Nonlinear Anal. Model. Control, 2011, 16(2), 181–190. doi: 10.15388/NA.16.2.14104

    CrossRef Google Scholar

    [12] W. Kermack and A. McKendric, A contribution to the mathematical theory of epidemics, Proc. Roy. Soc. Ser. A, 1927,115(772), 700–721.

    Google Scholar

    [13] M. Khan, Y. Khan and S. Lslam, Complex dynamics of an SEIR epidemic models with saturated incidence rate and treatment, Physica A, 2018,493,210–227. doi: 10.1016/j.physa.2017.10.038

    CrossRef Google Scholar

    [14] R. Kumar, G. Clermont, Y. Vodovotz, et al., The dynamics of acute inflammation, J. Theor. Biol., 2004,230(2), 145–155. doi: 10.1016/j.jtbi.2004.04.044

    CrossRef Google Scholar

    [15] G. Li and Z. Jin, Global stability of an SEI epidemic model, Chaos Solitions Fractals, 2004, 21(4), 925–931. doi: 10.1016/j.chaos.2003.12.031

    CrossRef Google Scholar

    [16] G. Li and Z. Jin, Global stability of an SEI epidemic model with general contact rate, Chaos Solitions Fractals, 2005, 23(3), 997–1004.

    Google Scholar

    [17] J. Lin, Z. Lu and G. Li, MCPIP-1-mediated immunosuppression of neutrophils exacerbates acute bacterial peritonitis and liver injury, J. Innate Immun., 2023, 15(1), 262–282. doi: 10.1159/000526784

    CrossRef Google Scholar

    [18] F. Liu and F. Wei, An epidemic model with Beddington-DeAngelis functional response and environmental fluctuations, Physica A, 2022,597, 127321. doi: 10.1016/j.physa.2022.127321

    CrossRef Google Scholar

    [19] M. Liu, C. Bai and K. Wang, Asymptotic stability of a two-group stochastic SEIR model with infinite delays, Commun. Nonlinear Sci. Numer. Simul., 2014, 19(10), 3444–3453. doi: 10.1016/j.cnsns.2014.02.025

    CrossRef Google Scholar

    [20] Q. Liu, D. Jiang, N. Shi, et al., Stationary distribution and extinction of a stochastic SIRS epidemic model with standard incidence, Physica A, 2017,469,510–517. doi: 10.1016/j.physa.2016.11.077

    CrossRef Google Scholar

    [21] Z. Liu, Dynamics of posotive solutions to SIR and SEIR epidemic models with saturated incidence rates, Nonlinear Anal. Real World Appl., 2013, 14(3), 1286–1299. doi: 10.1016/j.nonrwa.2012.09.016

    CrossRef Google Scholar

    [22] R. Lu and F. Wei, Persistence and extinction for an age-structured stochastic SVIR epidemic model with generalized nonlinear incidence rate, Physica A, 2019,513,572–587. doi: 10.1016/j.physa.2018.09.016

    CrossRef Google Scholar

    [23] X. Mao, Stochastic Differential Equations and Applications, Horwood, Chichester, 2007.

    Google Scholar

    [24] X. Mao, F. Wei and T. Wiriyakraikul, Positivity preserving truncated Euler-Maruyama method for stochastic Lotka-Volterra competition model, J. Comput. Appl. Math., 2021,394, 113566. doi: 10.1016/j.cam.2021.113566

    CrossRef Google Scholar

    [25] B. Mukhopadhyay and R. Bhattacharyya, Analysis of a spatially extended nonlinear SEIS epidemic model with distinct incidence for exposed and infectives, Nonlinear Anal. Real World Appl., 2008, 9(2), 585–598. doi: 10.1016/j.nonrwa.2006.12.003

    CrossRef Google Scholar

    [26] S. Mwalili, M. Kimathi, V. Ojiambo, et al., SEIR model for COVID-19 dynamics incorporating the environment and social distancing, BMC Res. Notes, 2020, 13(1), 1–5. doi: 10.1186/s13104-019-4871-2

    CrossRef Google Scholar

    [27] V. Pauline and W. James, A simple SIS epidemic model with a backward bifurcation, J. Math. Biol., 2000, 40(6), 525–540. doi: 10.1007/s002850000032

    CrossRef Google Scholar

    [28] A. Pigozzo, G. Macedo, R. Santos, et al., On the computational modeling of the innate immune system, BMC Bioinform., 2013, 14, S7.

    Google Scholar

    [29] A. Reynolds, J. Rubin, G. Clermont, et al., A reduced mathematical model of the acute inflammatory response: Ⅰ. Derivation of model and analysis of anti-inflammation, Lab. Anim. Science, 1991, 41(3), 288–290.

    Google Scholar

    [30] S. Ruan and W. Wang, Dynamical behavior of an epidemic model with a nonlinear incidence rate, J. Differ. Equ., 2003,188(1), 135–163. doi: 10.1016/S0022-0396(02)00089-X

    CrossRef Google Scholar

    [31] Z. Shi, C. Wu, D. Arieh, et al., Mathematical model of innate and adaptive immunity of sepsis: A modeling and simulation study of infectious disease, BioMed Res. Int., 2015, 2015, 504259.

    Google Scholar

    [32] B. Su, W. Zhou, K. Dorman, et al., Mathematical modelling of immune response in tissues, Comput. Math. Methods. Med., 2009, 10(1), 9–38. doi: 10.1080/17486700801982713

    CrossRef Google Scholar

    [33] W. Wang, Global behavior of an seirs epidemic model with time delays, Appl. Math. Lett., 2002, 15(4), 423–428. doi: 10.1016/S0893-9659(01)00153-7

    CrossRef Google Scholar

    [34] W. Wang, Backward bifurcation of an epidemic model with treatment, Math. Biosci., 2006,201(1–2), 58–71. doi: 10.1016/j.mbs.2005.12.022

    CrossRef Google Scholar

    [35] W. Wang and S. Ruan, Bifurcation in an epidemic model with constant removal rate of the infectives, J. Math. Anal. Appl., 2004,291(2), 775–793. doi: 10.1016/j.jmaa.2003.11.043

    CrossRef Google Scholar

    [36] X. Wang, Y. Tao and X. Song, Global stability of a virus dynamics model with Beddington-De Angelis incidence rate and CTL immune response, Nonlinear Dyn., 2011, 66(4), 825–830. doi: 10.1007/s11071-011-9954-0

    CrossRef Google Scholar

    [37] F. Wei and L. Chen, Extinction and stationary distribution of an epidemic model with partial vaccination and nonlinear incidence rate, Physica A, 2002,545, 122852.

    Google Scholar

    [38] F. Wei and F. Chen, Stochastic permanence of an SIQS epidemic model with saturated incidence and independent random perturbations, Physica A, 2016,453(1), 99–107.

    Google Scholar

    [39] F. Wei and J. Liu, Long-time behavior of a stochastic epidemic model with varying population size, Physica A, 2017,470,146–153. doi: 10.1016/j.physa.2016.11.031

    CrossRef Google Scholar

    [40] F. Wei, Z. Peng, Z. Jin, et al., Study and prediction of the 2022 global monkeypox epidemic, J. Biosaf. Biosec., 2022, 4(2), 158–162.

    Google Scholar

    [41] F. Wei and R. Xue, Stability and extinction of SEIR epidemic models with generalized nonlinear incidence, Math. Comput. Simul., 2020,170, 1–15. doi: 10.1016/j.matcom.2018.09.029

    CrossRef Google Scholar

    [42] F. Wei, R. Zhou, Z. Jin, et al., COVID-19 transmission driven by age-group mathematical model in Shijiazhuang City of China, Infect. Dis. Model., 2023, 8(4), 1050–1062.

    Google Scholar

    [43] H. Yang and J. Wei, Analyzing global stability of a viral model with general incidence rate and cytotoxic T lymphocytes immune response, Nonlinear Dyn., 2015, 82(1–2), 713–722. doi: 10.1007/s11071-015-2189-8

    CrossRef Google Scholar

    [44] Q. Yang, D. Jiang, N. Shi, et al., The ergodicity and extinction of stochastically perturbed SIR and SEIR epidemic models with saturated incidence, J. Math. Anal. Appl., 2012,388(1), 248–271. doi: 10.1016/j.jmaa.2011.11.072

    CrossRef Google Scholar

    [45] J. Zhang and Z. Ma, Global dynamics of an SEIR epidemic models with saturating contract rate, Math. Biosci., 2003,185(1), 15–32. doi: 10.1016/S0025-5564(03)00087-7

    CrossRef Google Scholar

    [46] X. Zhang, Z. Kang, D. Yin, et al., Role of neutrophils in different stages of atherosclerosis, Innate Immun., 2023, 29(6), 17534259231189195.

    Google Scholar

    [47] Y. Zhang, A remark on stationary distribution of a stochastic SIR epidemic model with double saturated rates, Appl. Math. Lett., 2018, 76, 46–52. doi: 10.1016/j.aml.2017.08.002

    CrossRef Google Scholar

    [48] Y. Zhao and D. Jiang, Dynamics of stochastically perturbed SIS epidemic model with vaccination, Abstr. Appl. Anal., 2013, 2013, 1–12.

    Google Scholar

    [49] Y. Zhao and D. Jiang, The threshold of a stochastic SIS epidemic model with vaccination, Appl. Math. Comput., 2014,243,718–727.

    Google Scholar

    [50] L. Zhou and M. Fan, Dynamics of an SIR epidemic model with limited medical resources revisited, Nonlinear Anal. Real World Appl., 2012, 13(1), 312–324. doi: 10.1016/j.nonrwa.2011.07.036

    CrossRef Google Scholar

    [51] Fujian Statistical Yearbook, Fujian Provincial Bureau of Statistics, 2022. Available from: https://tjj.fujian.gov.cn/tongjinianjian/dz2022/index.htm.

    Google Scholar

    [52] Fujian Provincial Health Commission, 2022. Available from: https://wjw.fujian.gov.cn.

    Google Scholar

Figures(8)  /  Tables(1)

Article Metrics

Article views(1417) PDF downloads(428) Cited by(0)

Access History

Other Articles By Authors

Catalog

    /

    DownLoad:  Full-Size Img  PowerPoint