2025 Volume 15 Issue 4
Article Contents

Li Qiao, Ruo-Hong Li, Fan Yang, Xiao-Xiao Li. SIMULTANEOUS INVERSION OF THE SOURCE TERM AND INITIAL VALUE OF THE MULTI-TERM TIME FRACTIONAL SLOW DIFFUSION EQUATION[J]. Journal of Applied Analysis & Computation, 2025, 15(4): 1903-1927. doi: 10.11948/20240328
Citation: Li Qiao, Ruo-Hong Li, Fan Yang, Xiao-Xiao Li. SIMULTANEOUS INVERSION OF THE SOURCE TERM AND INITIAL VALUE OF THE MULTI-TERM TIME FRACTIONAL SLOW DIFFUSION EQUATION[J]. Journal of Applied Analysis & Computation, 2025, 15(4): 1903-1927. doi: 10.11948/20240328

SIMULTANEOUS INVERSION OF THE SOURCE TERM AND INITIAL VALUE OF THE MULTI-TERM TIME FRACTIONAL SLOW DIFFUSION EQUATION

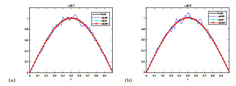
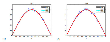
  • In this paper, the inverse problem of simultaneously identifying the source term and initial value for the multi-term time fractional diffusion equation is studied. We prove this problem is ill-posed, i.e. the solution (if it exists) does not continuous depend on measurement data. A standard Tikhonov regularization method is proposed to solve the inverse problem. In the case of a-priori and a-posteriori, we derive the error estimates between the exact solution and the regularized solution. Finally, we provide two examples to show the validity of the proposed method.

    MSC: 35R25, 47A52, 35R30
  • 加载中
  • [1] T. S. Aleroev, M. Kirane and S. A. Malik, Determination of a source term for a time fractional diffusion equation with an integral type over-determining condiiton, Electronic Journal of Differential Equations, 2013, 2013(270), 584–609.

    Google Scholar

    [2] A. A. Alikhanov, A new difference scheme for the time fractional diffusion equation-ScienceDirect, Journal of Computational Physics, 2015,280(C), 424–438.

    Google Scholar

    [3] S. Z. Amir and S. Y. Sun, Physics-preserving averaging scheme based on Grünwald-Letnikov formula for gas flow in fractured media, Journal of Petroleum Science and Engineering, 2018,163,616–639. doi: 10.1016/j.petrol.2017.12.078

    CrossRef Google Scholar

    [4] M. L. Chang, L. L. Sun and Y. X. Wang, Two regularization methods for identifying the unknow source in a mulit-term time fractional diffusion equation, Rocky Mountain Journal of Mathematics, 2023, 53(5), 1387–1414.

    Google Scholar

    [5] M. Dehghan, M. Safarpoor and M. Abbaszadeh, Two high-order numerical algorithms for solving the multi-term time fractional diffusion-wave equations, Journal of Computational and Applied Mathematics, 2015,290,174–195. doi: 10.1016/j.cam.2015.04.037

    CrossRef Google Scholar

    [6] R. Gorenflo, F. Mainardi, D. Moretti, et al., Time fractional diffusion: A discrete random walk approach, Nonlinear Dynamics, 2002, 29(1–4), 129–143.

    Google Scholar

    [7] H. J. Haubold, A. M. Mathai and R. K. Saxena, Mittag-Leffler functions and their applications, Journal of Applied Mathematics, 2011, 2011, 36–47.

    Google Scholar

    [8] A. Kirsch, An Introduction to the Mathematical Theory of Inverse Problems, Springer New York, 2011.

    Google Scholar

    [9] Z. Li, Y. Luchko and M. Yamamoto, Asymptotic estimates of solutions to initial-boundary-value problems for distributed order time-fractional diffusion equations, Fractional Calculus Applied Analysis, 2014, 17(4), 1114–1136. doi: 10.2478/s13540-014-0217-x

    CrossRef Google Scholar

    [10] Y. Q. Liang, F. Yang and X. X. Li, A hybrid regularization method for identifying the source term and the initial value simultaneously for fractional pseudo-parabolic equation with involution, Numerical Algorithm, 2025. DOI: 10.1007/s11075-024-01944-3.

    CrossRef Google Scholar

    [11] J. J. Liu and M. Yamamoto, A backward problem for the time-fractional diffusion equation, Applicable Analysis, 2010, 89(11), 1769–1788. doi: 10.1080/00036810903479731

    CrossRef Google Scholar

    [12] Y. Luchko, Some uniqueness and existence results for the initial-boundary-value problems for the generalized time-fractional diffusion equation, Computers Mathematics with Applications, 2010, 59(5), 1766–1772. doi: 10.1016/j.camwa.2009.08.015

    CrossRef Google Scholar

    [13] M. D. Ortigueira and J. J. Trujillo, Generalized Grunwald-Letnikov fractional derivative and its Laplace and Fourier transforms, Journal of Computational Nonlinear Dynamics, 2011, 6(3), 34501–34503. doi: 10.1115/1.4003136

    CrossRef Google Scholar

    [14] I. Podlubny, Geometric and physical interpretation of fractional integration and fractional differentiation, Fractional Calculus and Applied Analysis, 2001, 5(4), 230–237.

    Google Scholar

    [15] I. Podlubny, Fractional Differential Equations, New York, Academic Press, 1999.

    Google Scholar

    [16] I. Podlubny, Fitting data using the Mittag-Leffler function, Journal of Mechanical Science and Technology, 2005, 19(11), 2016–2024. doi: 10.1007/BF02916494

    CrossRef Google Scholar

    [17] L. Qiao, F. Yang and X. X. Li, Simultaneous identification of the unknown source term and initial value for the time fractional diffusion equation with local and nonlocal operators, Chaos Solitons and Fractals, 2024,189, 115601. doi: 10.1016/j.chaos.2024.115601

    CrossRef Google Scholar

    [18] J. Ren and Z. Z. Sun, Efficient numerical solution of the multi-term time fractional diffusion-wave equation, East Asian Journal on Applied Mathematics, 2015, 5(01), 1–28. doi: 10.4208/eajam.080714.031114a

    CrossRef Google Scholar

    [19] Z. Ruan, J. Z. Yang and X. Lu, Tikhonov regularisation method for simultaneous inversion of the source term and initial data in a time-fractional diffusion equation, East Asian Journal on Applied Mathematics, 2015, 5(03), 273–300. doi: 10.4208/eajam.310315.030715a

    CrossRef Google Scholar

    [20] S. Shen, F. Liu and V. Anh, The analytical solution and numerical solutions for a two-dimensional multi-term time fractional diffusion and diffusion-wave equation, Journal of Computational and Applied Mathematics, 2019,345,515–534. doi: 10.1016/j.cam.2018.05.020

    CrossRef Google Scholar

    [21] M. Stojanovi and R. Gorenflo, Nonlinear two-term time fractional diffusion-wave problem, Nonlinear Analysis Real World Applications, 2010, 11(5), 3512–3523. doi: 10.1016/j.nonrwa.2009.12.012

    CrossRef Google Scholar

    [22] L. L. Sun, Y. S. Li and Y. Zhang, Simultaneous inversion of the potential term and the fractional orders in a multi-term time-fractional diffusion equation, Inverse Problems, 2021, 37(5), 055007. doi: 10.1088/1361-6420/abf162

    CrossRef Google Scholar

    [23] L. L. Sun, Y. Zhang and T. Wei, Recovering the time-dependent potential function in a multi-term time-fractional diffusion equation, Applied Numerical Mathematics, 2019,135,228–245. doi: 10.1016/j.apnum.2018.09.001

    CrossRef Google Scholar

    [24] Z. Tomovski and T. Sandev, Effects of a fractional friction with power-law memory kernel on string vibrations, Computers Mathematics with Applications, 2011, 62(3), 1554–1561. doi: 10.1016/j.camwa.2011.04.042

    CrossRef Google Scholar

    [25] Z. Tomovski and T. Sandev, Fractional wave equation with a frictional memory kernel of Mittag-Leffler type, Applied Mathematics and Computation, 2012,218(20), 10022–10031. doi: 10.1016/j.amc.2012.03.055

    CrossRef Google Scholar

    [26] T. Wei and J. Wang, Simultaneous determination for a space-dependent heat source and the initial data by the MFS, Engineering Analysis with Boundary Elements, 2012, 36(12), 1848–1855. doi: 10.1016/j.enganabound.2012.07.006

    CrossRef Google Scholar

    [27] F. Yang, Y. Cao and X. X. Li, Identifying source term and initial value simultaneously for the time-fractional diffusion equation with Caputo-like hyper-Bessel operator, Fractional Calculus and Applied Analysis, 2024, 27, 2359–2396. doi: 10.1007/s13540-024-00304-1

    CrossRef Google Scholar

    [28] F. Yang, Q. Pu and X. X. Li, The fractional Landweber method for identifying the space source term problem for time-space fractional diffusion equation, Numerical Algorithms, 2021, 87(3), 1229–1255. doi: 10.1007/s11075-020-01006-4

    CrossRef Google Scholar

    [29] F. Yang, L. L. Yan, H. Liu and X. X. Li, Two regularization methods for identifying the unknown source of sobolev equation with fractional Laplacian, Journal of Applied Analysis and Computation, 2025, 15(1), 198–225.

    Google Scholar

    [30] F. Yang, Y. Zhang and X. X. Li, Landweber iterative method for an inverse source problem of time-space fractional diffusion-wave equation, Computational Methods in Applied Mathematics, 2024, 24(1), 265–278. doi: 10.1515/cmam-2022-0240

    CrossRef Google Scholar

    [31] Q. Yang, D. L. Chen, T. B. Zhao and Y. Q. Chen, Fractional calculus in image processing: A review, Fractional Calculus and Applied Analysis, 2016, 19(5), 1222–1249. doi: 10.1515/fca-2016-0063

    CrossRef Google Scholar

    [32] C. Y. Zhang, F. Yang and X. X. Li, Two regularization methods for identifying the spatial source term problem for a space-time fractional diffusion-wave equation, Mathematics, 2024, 12,231. doi: 10.3390/math12020231

    CrossRef Google Scholar

    [33] Y. N. Zhang, Z. Z. Sun and H. L. Liao, Finite difference methods for the time fractional diffusion equation on non-uniform meshes, Journal of Computational Physics, 2014,265(3), 195–210.

    Google Scholar

    [34] G. H. Zheng and T. Wei, Two regularization methods for solving a Riesz-Feller space-fractional backward diffusion problem, Inverse Problems, 2010, 26(11), 115017. doi: 10.1088/0266-5611/26/11/115017

    CrossRef Google Scholar

Figures(4)  /  Tables(1)

Article Metrics

Article views(1314) PDF downloads(405) Cited by(0)

Access History

Other Articles By Authors

Catalog

    /

    DownLoad:  Full-Size Img  PowerPoint