2026 Volume 16 Issue 2
Article Contents

Siying Li, Ruohong Li, Fan Yang, Xiaoxiao Li, Zhenji Tian. IDENTIFICATION OF THE RANDOM SOURCE IN THE STOCHASTIC CAPUTO-HADAMARD TIME-FRACTIONAL DIFFUSION EQUATION[J]. Journal of Applied Analysis & Computation, 2026, 16(2): 987-1015. doi: 10.11948/20250065
Citation: Siying Li, Ruohong Li, Fan Yang, Xiaoxiao Li, Zhenji Tian. IDENTIFICATION OF THE RANDOM SOURCE IN THE STOCHASTIC CAPUTO-HADAMARD TIME-FRACTIONAL DIFFUSION EQUATION[J]. Journal of Applied Analysis & Computation, 2026, 16(2): 987-1015. doi: 10.11948/20250065

IDENTIFICATION OF THE RANDOM SOURCE IN THE STOCHASTIC CAPUTO-HADAMARD TIME-FRACTIONAL DIFFUSION EQUATION

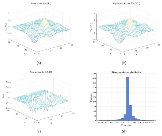
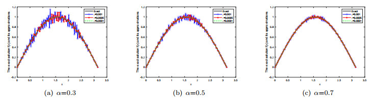
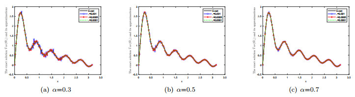
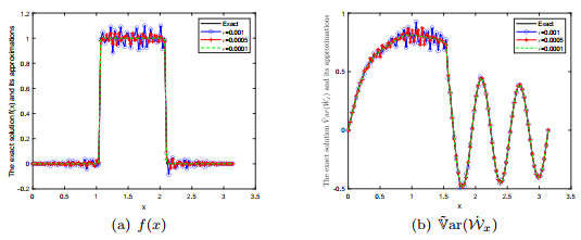
  • This paper investigates the inverse problem of identifying the unknown source term in a stochastic Caputo-Hadamard time-fractional diffusion equation, where the source term consists of a deterministic function and a stochastic process. By utilizing the statistical properties of final value data (including its expectation and variance), we recover both the deterministic and random terms. To address the inherent ill-posedness of the problem, we apply the quasi-boundary regularization method and provide both a priori and a posteriori error estimates. Finally, numerical experiments in one and two dimensions are conducted to validate the feasibility and effectiveness of the proposed method.

    MSC: 35R25, 47A52, 35R30
  • 加载中
  • [1] B. Ahmad, A. Alsaedi, S. K. Ntouyas, et al., Hadamard-Type Fractional Differential Equations, Inclusions and Inequalities, Springer, Switzerland, 2017.

    Google Scholar

    [2] M. Cai, G. Em Karniadakis and C. Li, Fractional SEIR model and data-driven predictions of COVID-19 dynamics of omicron variant, Chaos, 2022, 32(7), 071101. doi: 10.1063/5.0099450

    CrossRef Google Scholar

    [3] D. Cao and C. Li, Quenching phenomenon in the Caputo-Hadamard time-fractional Kawarada problem: Analysis and computation, Math. Comput. Simulat., 2025, 233, 21–38. doi: 10.1016/j.matcom.2025.01.014

    CrossRef Google Scholar

    [4] Z. Chen, K. Kim and P. Kim, Fractional time stochastic partial differential equations, Stoch. Proc. Appl., 2015, 125(4), 1470–1499. doi: 10.1016/j.spa.2014.11.005

    CrossRef Google Scholar

    [5] L. R. Evangelista and E. K. Lenzi, Fractional Diffusion Equations and Anomalous Diffusion, Cambridge University Press, United Kingdom, 2018.

    Google Scholar

    [6] S. Fomin, V. Chugunov and T. Hashida, Mathematical modeling of anomalous diffusion in porous media, Frac. Differ. Calc., 2011, 1(1), 1–28.

    Google Scholar

    [7] S. Fu and Z. Zhang, Application of the generalized multiscale finite element method in an inverse random source problem, J. Comput. Phys., 2021, 429, 110032. doi: 10.1016/j.jcp.2020.110032

    CrossRef Google Scholar

    [8] R. Garra, F. Mainardi and G. Spada, A generalization of the Lomnitz logarithmic creep law via Hadamard fractional calculus, Chaos Solitons Fract., 2017, 102, 333–338. doi: 10.1016/j.chaos.2017.03.032

    CrossRef Google Scholar

    [9] M. Giona, S. Cerbelli and H. E. Roman, Fractional diffusion equation and relaxation in complex viscoelastic materials, Physica A, 1992, 191(1–4), 449–453. doi: 10.1016/0378-4371(92)90566-9

    CrossRef Google Scholar

    [10] M. Gohar, C. Li and Z. Li, Finite difference methods for Caputo-Hadamard fractional differential equations, Mediterr. J. Math., 2020, 17(6), 194. doi: 10.1007/s00009-020-01605-4

    CrossRef Google Scholar

    [11] Y. Gong, P. Li, X. Wang, et al., Numerical solution of an inverse random source problem for the time fractional diffusion equation via PhaseLift, Inverse Probl., 2021, 37(4), 045001. doi: 10.1088/1361-6420/abe6f0

    CrossRef Google Scholar

    [12] M. Gunzburger, B. Li and J. Wang, Sharp convergence rates of time discretization for stochastic time-fractional PDEs subject to additive space-time white noise, Math. Comput., 2019, 88(318), 1715–1741.

    Google Scholar

    [13] W. Hou, F. Yang, X. Li, et al., The Modified Tikhonov Regularization Method for Backward Heat Conduction Problem with a Complete Parabolic Equation in $ \mathbb{R}.{n}$, Numer. Algorithms, 2025. DOI: 10.1007/s11075-025-02164-z.

    CrossRef $ \mathbb{R}.{n}$" target="_blank">Google Scholar

    [14] Z. Kala, Stochastic inverse analysis of fatigue cracks based on linear fracture mechanics, Int. J. Math. Comput. Methods, 2017, 2, 60–65.

    Google Scholar

    [15] A. A. Kilbas, H. M. Srivastava and J. J. Trujillo, Theory and Applications of Fractional Differential Equations, Elsevier, United Kingdom, 2006.

    Google Scholar

    [16] C. Li and Z. Li, Asymptotic behaviours of solution to Caputo-Hadamard fractional partial differential equation with fractional Laplacian, Int. J. Comput. Math., 2021, 98(2), 305–339. doi: 10.1080/00207160.2020.1744574

    CrossRef Google Scholar

    [17] Y. Liang, F. Yang and X. Li, A hybrid regularization method for identifying the source term and the initial value simultaneously for fractional pseudo-parabolic equation with involution, Numer. Algorithms, 2025, 99(4), 2063–2095. doi: 10.1007/s11075-024-01944-3

    CrossRef Google Scholar

    [18] Y. Liang, F. Yang and X. Li, Two regularization approaches for identifying the source term of time-fractional telegraph equation, J. Anal., 2025, 33, 2285-2318. doi: 10.1007/s41478-025-00921-w

    CrossRef Google Scholar

    [19] Y. Liang, F. Yang and X. Li, Two regularization methods for identifying the initial value of time-fractional telegraph equation, Comput. Methods Appl. Math., 2025, 25(4), 883–905. doi: 10.1515/cmam-2024-0159

    CrossRef Google Scholar

    [20] C. Liu, J. Wen and Z. Zhang, Reconstruction of the time-dependent source term in a stochastic fractional diffusion equation, Inverse Probl. Imag., 2020, 14(6), 1001–1024. doi: 10.3934/ipi.2020053

    CrossRef Google Scholar

    [21] D. Nie and W. Deng, A unified convergence analysis for the fractional diffusion equation driven by fractional gaussian noise with hurst index $ H \in (0, 1)$, SIAM J. Numer. Anal., 2022, 60(3), 1548–1573. doi: 10.1137/21M1422616

    CrossRef $ H \in (0, 1)$" target="_blank">Google Scholar

    [22] P. Niu, T. Helin and Z. Zhang, An inverse random source problem in a stochastic fractional diffusion equation, Inverse Probl., 2020, 36(4), 045002. doi: 10.1088/1361-6420/ab532c

    CrossRef Google Scholar

    [23] I. Podlubny, Fractional Differential Equations, Elsevier, Slovak Republic, 1999.

    Google Scholar

    [24] H. Pollard, The completely monotonic character of the Mittag-Leffler function $E_{a}(-x) $, Bull. Am. Math. Soc., 1948, 54(12), 1115–1116. doi: 10.1090/S0002-9904-1948-09132-7

    CrossRef $E_{a}(-x) $" target="_blank">Google Scholar

    [25] L. Qiao, R. Li, F. Yang, et al., Simultaneous inversion of the source term and initial value of the multi-term time fractional slow diffusion equation, J. Appl. Anal. Comput., 2025, 15(4), 1903–1927.

    Google Scholar

    [26] L. Qiao, F. Yang and X. Li, Simultaneous identification of the unknown source term and initial value for the time fractional diffusion equation with local and nonlocal operators, Chaos Solitons Fract., 2024, 189, 115601. doi: 10.1016/j.chaos.2024.115601

    CrossRef Google Scholar

    [27] K. Sakamoto and M. Yamamoto, Initial value/boundary value problems for fractional diffusion-wave equations and applications to some inverse problems, J. Math. Anal. Appl., 2011, 382(1), 426–447. doi: 10.1016/j.jmaa.2011.04.058

    CrossRef Google Scholar

    [28] L. Wang, T. Wei and G. Zheng, Determining the random source and initial value simultaneously in stochastic fractional diffusion equations, Commun. Anal. Comput., 2023, 1(3), 234–270.

    Google Scholar

    [29] L. Yan, F. Yang and X. Li, The fractional Tikhonov regularization method for simultaneous inversion of the source term and initial value in a space-fractional Allen-Cahn equation, J. Appl. Anal. Comput., 2024, 14(4), 2257–2282.

    Google Scholar

    [30] L. Yan, F. Yang and X. Li, Identifying the random source term and two initial values simultaneously for the stochastic time-fractional diffusion-wave equation, Commun. Nonlinear Sci. Numer. Simul., 2025, 152, 109135.

    Google Scholar

    [31] F. Yang, Y. Cao and X. Li, Two regularization methods for identifying the source term of Caputo-Hadamard time-fractional diffusion equation, Math. Methods Appl. Sci., 2023, 46(15), 16170–16202. doi: 10.1002/mma.9444

    CrossRef Google Scholar

    [32] F. Yang, Y. Cao and X. Li, Identifying source term and initial value simultaneously for the time-fractional diffusion equation with Caputo-like hyper-Bessel operator, Fract. Calc. Appl. Anal., 2024, 27(5), 2359–2396. doi: 10.1007/s13540-024-00304-1

    CrossRef Google Scholar

    [33] F. Yang, R. Li, Y. Gao, et al., Two regularization methods for identifying the source term of Caputo-Hadamard type time fractional diffusion-wave equation, J. Inverse Ill-Posed Probl., 2025, 33(3), 369–399.

    Google Scholar

    [34] F. Yang, S. Li and X. Li, Inverse random source problem for the stochastic Caputo-Hadamard time-fractional diffusion equation driven by fractional Brownian motion, Chaos Solitons Fract., 2026, 201(2), 117233.

    Google Scholar

    [35] F. Yang, J. Xu and X. Li, Simultaneous inversion of the source term and initial value of the time fractional diffusion equation, Math. Model. Anal., 2024, 29(2), 193–214. doi: 10.3846/mma.2024.18133

    CrossRef Google Scholar

    [36] F. Yang, L. Yan and X. Li, The backward problem of a stochastic space-fractional diffusion equation driven by fractional Brownian motion, J. Comput. Appl. Math., 2026, 476, 117086. doi: 10.1016/j.cam.2025.117086

    CrossRef Google Scholar

    [37] F. Yang, L. Yan, H. Liu, et al., Two regularization methods for identifying the unknown source of sobolev equation with fractional Laplacian, J. Appl. Anal. Comput., 2025, 15(1), 198–225.

    Google Scholar

    [38] F. Yang, Y. Zhang and X. Li, Landweber iterative method for an inverse source problem of time-space fractional diffusion-wave equation, Comput. Methods Appl. Math., 2024, 24(1), 265–278. doi: 10.1515/cmam-2022-0240

    CrossRef Google Scholar

    [39] Z. Yang, X. Zheng and H. Wang, Well-posedness and regularity of caputo-hadamard time-fractional diffusion equations, Fractals, 2022, 30(1), 2250005. doi: 10.1142/S0218348X22500050

    CrossRef Google Scholar

    [40] C. Zhang, F. Yang and X. Li, Two regularization methods for identifying the spatial source term problem for a space-time fractional diffusion-wave equation, Mathematics, 2024, 12(2), 231. doi: 10.3390/math12020231

    CrossRef Google Scholar

    [41] C. Zhang, F. Yang and X. Li, Identifying the source term and the initial value simultaneously for Caputo-Hadamard fractional diffusion equation on spherically symmetric domain, Comput. Appl. Math., 2024, 43(4), 161. doi: 10.1007/s40314-024-02679-6

    CrossRef Google Scholar

Figures(6)  /  Tables(1)

Article Metrics

Article views(1102) PDF downloads(195) Cited by(0)

Access History

Other Articles By Authors

Catalog

    /

    DownLoad:  Full-Size Img  PowerPoint