2026 Volume 16 Issue 4
Article Contents

Jiyu Wang, Xiuling Jia, Cuixia Li, Shiliang Wu. A NEW APPROACH FOR LINEAR SYSTEMS OF THE FORM (A + γUUT)X = B[J]. Journal of Applied Analysis & Computation, 2026, 16(4): 1719-1735. doi: 10.11948/20250099
Citation: Jiyu Wang, Xiuling Jia, Cuixia Li, Shiliang Wu. A NEW APPROACH FOR LINEAR SYSTEMS OF THE FORM (A + γUUT)X = B[J]. Journal of Applied Analysis & Computation, 2026, 16(4): 1719-1735. doi: 10.11948/20250099

A NEW APPROACH FOR LINEAR SYSTEMS OF THE FORM (A + γUUT)X = B

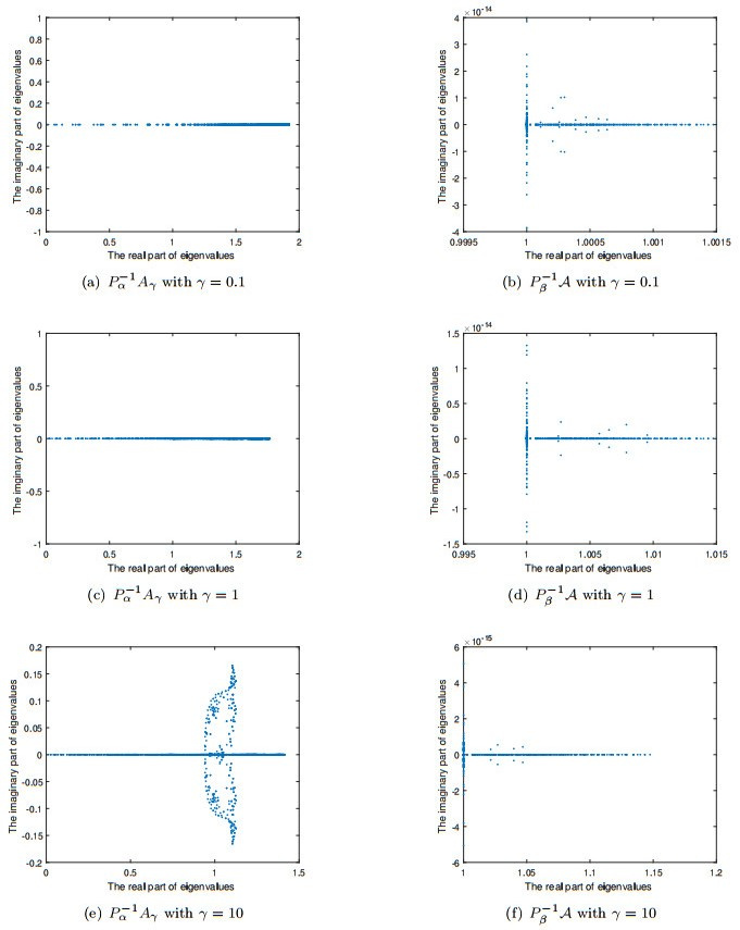
  • In this paper, we consider the numerical solution of linear systems of the form (A + γUUT)x = b. A new approach for this linear systems is proposed: by transforming this linear systems into the equivalent saddle point problem, we propose a new and effective preconditioner for this equivalent saddle point form and discuss the spectral properties of the corresponding preconditioned matrix. When dealing with the associated residual equations, compared with some existing preconditioners, the proposed precondnitioner can save computational workload, running time and computer memory in actual implementations. To illustrate the performance of the proposed preconditioner, some examples from different application cases are provided. Moreover, compared with some existing preconditioning strategies, the numerical results show that the proposed preconditioner is more competitive in a way.

    MSC: 65F10
  • 加载中
  • [1] Z. -Z. Bai, Modulus-based matrix splitting iteration methods for linear complementarity problems, Numerical Linear Algebra with Applications, 2010, 17, 917–933. doi: 10.1002/nla.680

    CrossRef Google Scholar

    [2] F. P. A. Beik and M. Benzi, Preconditioning techniques for the coupled Stokes-Darcy problem: Spectral and field-of-values analysis, Numerische Mathematik, 2022, 150, 257–298. doi: 10.1007/s00211-021-01267-8

    CrossRef Google Scholar

    [3] M. Benzi, Preconditioning Techniques for Large Linear Systems: A Survey, Journal of Computional Physics, 2002, 182, 418–477. doi: 10.1006/jcph.2002.7176

    CrossRef Google Scholar

    [4] M. Benzi and C. Faccio, Solving linear systems of the form (A + γUUT)x = b by preconditioned iterative methods, SIAM Journal on Scientific Computing, 2024, 46(2), S51–S70. doi: 10.1137/22M1505529

    CrossRef Google Scholar

    [5] M. Benzi and M. A. Olshanskii, An augmented Lagrangian-based approach to the Oseen problem, SIAM Journal on Scientific Computing, 2006, 28, 2095–2113. doi: 10.1137/050646421

    CrossRef Google Scholar

    [6] L. C. Chan, M. K. Ng and N. K. Tsing, Spectral analysis for HSS preconditioners, Numerical Mathematics-Theory Methods and Applications, 2008, 1, 57–77.

    Google Scholar

    [7] H. C. Elman, A. Ramage and D. J. Silvester, Algorithm 866: IFISS, a Matlab toolbox for modeling incompressible flow, ACM Transactions on Mathematical Software, 2007, 33(2), Article 14. doi: 10.1145/1236463.1236469

    CrossRef Google Scholar

    [8] P. E. Farrell, L. Mitchell and F. Wechsung, An augmented Lagrangian preconditioner for the 3D stationary incompressible Navier-Stokes equations at high Reynolds numbers, SIAM Journal on Scientific Computing, 2019, 41, A3075–A3096.

    Google Scholar

    [9] G. H. Golub and C. F. Van Loan, Matrix Computations, Johns Hopkins University Press, Baltimore, 2013.

    Google Scholar

    [10] R. A. Horn and C. R. Johnson, Matrix Analysis, Cambridge University Press, Cambridge, Mass, USA, 1990.

    Google Scholar

    [11] L. Hu, L. Ma and J. Shen, Efficient spectral-Galerkin method and analysis for elliptic PDEs with non-local boundary conditions, Journal of Scientific Computing, 2016, 68, 417–437. doi: 10.1007/s10915-015-0145-x

    CrossRef Google Scholar

    [12] Z. Lu, Auxiliary iterative schemes for the discrete operators on de Rham complex, 2021. https://arxiv.org/abs/2105.02065v2.

    Google Scholar

    [13] Z. Lu, Solving discrete constrained problems on de Rham complex, 2021. https://arxiv.org/abs/2107.06695v2.

    Google Scholar

    [14] I. Maros and C. Mészáros, A repository of convex quadratic programming problems, Optimization Methods & Software, 1999, 11–12, 671–681.

    Google Scholar

    [15] J. Nocedal and S. J. Wright, Numerical Optimization, Springer, New York, 2006.

    Google Scholar

    [16] J. Scott and M. Tüma, A Schur complement approach to preconditioning sparse linear least-squares problems with some sparse dense rows, Numerical Algorithms, 2018, 79, 1147–1168. doi: 10.1007/s11075-018-0478-2

    CrossRef Google Scholar

    [17] J. Scott and M. Tüma, Sparse stretching for solving sparse-dense linear least-squares problems, SIAM Journal on Scientific Computing, 2019, 41, A1604–A1625. doi: 10.1137/18M1181353

    CrossRef Google Scholar

    [18] J. Scott and M. Tüuma, A computational study of using black-box QR solvers for large-scale sparse-dense linear least-squares problems, ACM Transactions on Mathematical Software, 2022, 48(1), Article 5.

    Google Scholar

Figures(3)  /  Tables(6)

Article Metrics

Article views(304) PDF downloads(123) Cited by(0)

Access History

Other Articles By Authors

Catalog

    /

    DownLoad:  Full-Size Img  PowerPoint