2026 Volume 16 Issue 4
Article Contents

Ouidad Boulakour, Ahcene Merad, Fares Bekhouche, Nourhane Attia, Ali Akgül, Evren Hincal. SOLVING NONLINEAR TIME-FRACTIONAL KAWAHARA AND MODIFIED KAWAHARA EQUATIONS USING THE LAPLACE RESIDUAL POWER SERIES METHOD[J]. Journal of Applied Analysis & Computation, 2026, 16(4): 1695-1718. doi: 10.11948/20240590
Citation: Ouidad Boulakour, Ahcene Merad, Fares Bekhouche, Nourhane Attia, Ali Akgül, Evren Hincal. SOLVING NONLINEAR TIME-FRACTIONAL KAWAHARA AND MODIFIED KAWAHARA EQUATIONS USING THE LAPLACE RESIDUAL POWER SERIES METHOD[J]. Journal of Applied Analysis & Computation, 2026, 16(4): 1695-1718. doi: 10.11948/20240590

SOLVING NONLINEAR TIME-FRACTIONAL KAWAHARA AND MODIFIED KAWAHARA EQUATIONS USING THE LAPLACE RESIDUAL POWER SERIES METHOD

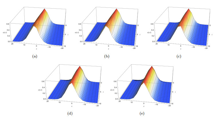
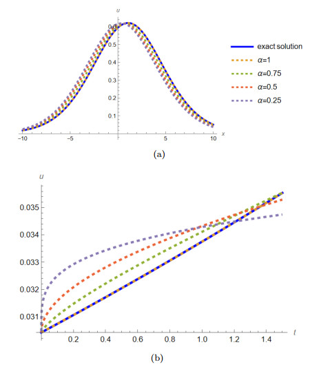
  • In this study, we efficiently obtain numerical solutions for the nonlinear time-fractional Kawahara and modified Kawahara equations using the Laplace residual power series method (L-RPSM), which combines the Laplace transform with the residual power series approach. We demonstrate the procedure, validity, and applicability of the proposed method by solving both equations with arbitrary initial conditions. To validate the theoretical results, we apply three distinct test problems. The results are presented in tabular form and visually represented in both two- and three-dimensional graphs, showing that the solutions converge to the exact results. Additionally, the results highlight the impact of the time-Caputo fractional operator on the obtained solutions and demonstrate that the proposed method offers more accurate approximations compared to other methods, such as the Adomian decomposition method (ADM), the variational iteration method (VIM), the residual power series method (RPSM), and the homotopy perturbation method (HPM).

    MSC: 44A10, 26A33
  • 加载中
  • [1] T. Abdeljawad, M. Sher, K. Shah, M. Sarwar, I. Amacha, M. Alqudah and A. Al-Jaser, Analysis of a class of fractal hybrid fractional differential equation with application to a biological model, Scientific Reports, 2024, 14(1), 18937. doi: 10.1038/s41598-024-67158-8

    CrossRef Google Scholar

    [2] A. A. Alderremy, R. Shah, N. Iqbal, S. Aly and K. Nonlaopon, Fractional series solution construction for nonlinear fractional reaction-diffusion Brusselator model utilizing Laplace residual power series, Symmetry, 2022, 14(9), 1944. DOI: 10.3390/sym14091944.

    CrossRef Google Scholar

    [3] M. Alquran and I. Jaradat, A novel scheme for solving Caputo time-fractional nonlinear equations: Theory and application, Nonlinear Dynamics, 2018, 91, 2389–2395. doi: 10.1007/s11071-017-4019-7

    CrossRef Google Scholar

    [4] M. Alquran and I. Jaradat, A novel scheme for solving Caputo time-fractional nonlinear equations: Theory and application, Nonlinear Dynamics, 2018, 91, 2389–2395. doi: 10.1007/s11071-017-4019-7

    CrossRef Google Scholar

    [5] T. M. Atanacković, S. Pilipović and D. Zorica, Properties of the Caputo-Fabrizio fractional derivative and its distributional settings, Fractional Calculus and Applied Analysis, 2018, 21(1), 29–44. doi: 10.1515/fca-2018-0003

    CrossRef Google Scholar

    [6] F. M. Atici, S. Chang and J. Jonnalagadda, Grünwald-Letnikov fractional operators: From past to present, Fract. Differ. Calc., 2021, 11(1), 147–159.

    Google Scholar

    [7] O. A. Arqub, Series solution of fuzzy differential equations under strongly generalized differentiability, J. Adv. Res. Appl. Math., 2013, 5(1), 31–52. doi: 10.5373/jaram.1447.051912

    CrossRef Google Scholar

    [8] G. Barbero, L. R. Evangelista, R. S. Zola, E. K. Lenzi and A. M. Scarfone, A brief review of fractional calculus as a tool for applications in physics: Adsorption phenomena and electrical impedance in complex fluids, Fractal and Fractional, 2024, 8(7), 369. doi: 10.3390/fractalfract8070369

    CrossRef Google Scholar

    [9] M. Benbachir and Z. Dahmani, The ADM method for solving the modified kawahara equation with fractional spatial and temporal derivatives, Journal of Interdisciplinary Mathematics, 2011, 14(5–6), 523–533.

    Google Scholar

    [10] S. Bhatter, A. Mathur, D. Kumar, K. S. Nisar and J. Singh, Fractional modified Kawahara equation with Mittag–Leffler law, Chaos, Solitons & Fractals, 2020, 131, 109508.

    Google Scholar

    [11] Y. H. Cheow, K. H. Ng, C. Phang and K. H. Ng, The application of fractional calculus in economic growth modelling: An approach based on regression analysis, Heliyon, 2024, 10(15).

    Google Scholar

    [12] Comparative analysis of the time-fractional Black–Scholes Option Pricing Equations (BSOPE) by the Laplace Residual Power Series Method (LRPSM).

    Google Scholar

    [13] S. A. Elsamani, A. A. Mohmmed, K. M. Kogan, S. Y. M. Salih and I. A. Ahmed, Fractional calculus applications in engineering insights into four-dimensional chaotic systems, Journal of Theory, Mathematics and Physics, 2024, 3(5), 75–84.

    Google Scholar

    [14] E. M. Elsayed, R. Shah and K. Nonlaopon, The analysis of the fractional-order Navier-Stokes equations by a novel approach, Journal of Function Spaces, 2022, 8979447.

    Google Scholar

    [15] T. Eriqat, A. El-Ajou, N. O. Moa'ath, Z. Al-Zhour and S. Momani, A new attractive analytic approach for solutions of linear and nonlinear neutral fractional pantograph equations, Chaos, Solitons & Fractals, 2020, 138, 109957.

    Google Scholar

    [16] Exact and approximate solutions for linear and nonlinear partial differential equations via Laplace residual power series method.

    Google Scholar

    [17] L. Jin, Application of variational iteration method and homotopy perturbation method to the modified Kawahara equation, Mathematical and Computer Modelling, 2009, 49(3–4), 573–578.

    Google Scholar

    [18] R. Kamocki, A new representation formula for the Hilfer fractional derivative and its application, Journal of Computational and Applied Mathematics, 2016, 308, 39–45. doi: 10.1016/j.cam.2016.05.014

    CrossRef Google Scholar

    [19] L. Kaur and R. K. Gupta, Kawahara equation and modified Kawahara equation with time dependent coefficients: Symmetry analysis and generalized‐expansion method, Mathematical Methods in the Applied Sciences, 2013, 36(5), 584–600. doi: 10.1002/mma.2617

    CrossRef Google Scholar

    [20] S. Khirsariya, S. Rao and J. Chauhan, Solution of fractional modified Kawahara equation: A semi-analytic approach, Mathematics in Applied Sciences and Engineering, 2023, 4(4), 264–284. doi: 10.5206/mase/16369

    CrossRef Google Scholar

    [21] J. Lu, Analytical approach to Kawahara equation using variational iteration method and homotopy perturbation method, Topol. Methods Nonlinear Anal., 2008, 31(2), 287–293.

    Google Scholar

    [22] X. Luo and M. Nadeem, Laplace residual power series method for the numerical solution of time-fractional Newell–Whitehead–Segel model, International Journal of Numerical Methods for Heat & Fluid Flow, 2023, 33(7), 2377–2391.

    Google Scholar

    [23] E. Viera-Martin, J. F. Gómez-Aguilar, J. E. Solís-Pérez, J. A. Hernández-Pérez and R. F. Escobar-Jiménez, Artificial neural networks: A practical review of applications involving fractional calculus, The European Physical Journal Special Topics, 2022, 231(10), 2059–2095. doi: 10.1140/epjs/s11734-022-00455-3

    CrossRef Google Scholar

    [24] K. S. Miller and B. Ross, An Introduction to the Fractional Calculus and Fractional Differential Equations, John Wiley & Sons, Inc., New York, 1993.

    Google Scholar

    [25] I. Podlubny, Fractional differential equations: An introduction to fractional derivatives, fractional differential equations, to methods of their solution and some of their applications, Elsevier, 1998.

    Google Scholar

    [26] M. Al-Refai, On weighted Atangana–Baleanu fractional operators, Advances in Difference Equations, 2020, 2020(1), 3. doi: 10.1186/s13662-019-2471-z

    CrossRef Google Scholar

    [27] M. Mossa Al-Sawalha, R. Shah, A. Khan, O. Y. Ababneh and T. Botmart, Fractional view analysis of Kersten-Krasil'shchik coupled KdV-mKdV systems with non-singular kernel derivatives, AIMS Mathematics, 2022, 7(10), 18334–18359. doi: 10.3934/math.20221010

    CrossRef Google Scholar

    [28] A. Shafee, Y. Alkhezi and R. Shah, Efficient solution of fractional system partial differential equations using Laplace residual power series method, Fractal and Fractional, 2023, 7(6), 429. doi: 10.3390/fractalfract7060429

    CrossRef Google Scholar

    [29] Using Laplace residual power series method in solving coupled fractional Neutron diffusion equations with delayed Neutrons system.

    Google Scholar

    [30] A. M. Wazwaz, New solitary wave solutions to the modified Kawahara equation, Physics Letters A, 2007, 360(4–5), 588–592.

    Google Scholar

    [31] J. Zhang and X. Tian, Laplace-residual power series method for solving fractional generalized long wave equations, Ocean Engineering, 2024, 310, 118693. doi: 10.1016/j.oceaneng.2024.118693

    CrossRef Google Scholar

Figures(6)  /  Tables(5)

Article Metrics

Article views(439) PDF downloads(210) Cited by(0)

Access History

Catalog

    /

    DownLoad:  Full-Size Img  PowerPoint