2026 Volume 16 Issue 4
Article Contents

Mati ur Rahman, Sonia Akram. HYBRID ANALYTICAL AND DYNAMICAL ANALYSIS OF A FRACTIONAL GENERALIZED DUFFING MODEL WITH ATANGANA'S CONFORMABLE DERIVATIVE[J]. Journal of Applied Analysis & Computation, 2026, 16(4): 1668-1694. doi: 10.11948/20250233
Citation: Mati ur Rahman, Sonia Akram. HYBRID ANALYTICAL AND DYNAMICAL ANALYSIS OF A FRACTIONAL GENERALIZED DUFFING MODEL WITH ATANGANA'S CONFORMABLE DERIVATIVE[J]. Journal of Applied Analysis & Computation, 2026, 16(4): 1668-1694. doi: 10.11948/20250233

HYBRID ANALYTICAL AND DYNAMICAL ANALYSIS OF A FRACTIONAL GENERALIZED DUFFING MODEL WITH ATANGANA'S CONFORMABLE DERIVATIVE

  • Author Bio: Email: mrmahman@imamu.edu.sa(M. ur Rahman)
  • Corresponding author: Email: soniaakram641@gmail.com(S. Akram)
  • Fund Project: This work was supported and funded by the Deanship of Scientific Research at Imam Mohammad Ibn Saud Islamic University (IMSIU) (grant number IMSIU-DDRSP2604)
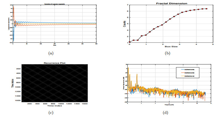
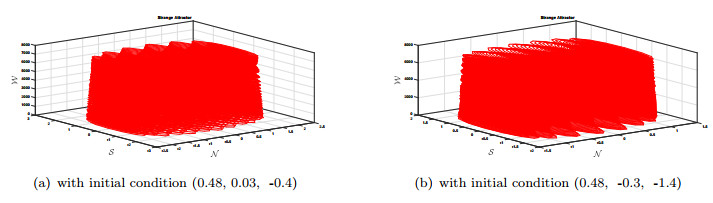
  • In this research, we analyze the fractional generalized reaction Duffing model (FGRDM) within the framework of Atangana’s conformable derivative, providing a novel approach to modeling memory and hereditary characteristics in nonlinear dynamical systems. To determine exact analytical solutions, we utlize a hybrid methodology combining the Riccati sub-equation method and the Riccati–Bernoulli sub-ODE method. This integrated approach successfully yields a wide variety of soliton solutions, such as dark, bright, M-shape, combo, periodic, singular, and mixed hyperbolic wave structures. Beyond the analytical construction of solutions, we present a detailed qualitative analysis of the governed model, both in its perturbed and unperturbed forms, through bifurcation and chaos investigations. To explore the nonlinear behavior and chaotic dynamics, we employ a suite of diagnostic tools, such as Poincaré sections, return maps, Lyapunov exponents, time series analysis, power spectra, strange attractors, recurrence plots, and fractal dimension estimation. These tools help uncover the rich and sensitive dependency of the system on initial conditions and parameter variations, suggesting transitions between periodic, quasi-periodic, and chaotic regimes. The importance of this work lies in its comprehensive analytical and numerical analysis of the FGRDM using fractional calculus. It offers insights into the interplay between memory effects, nonlinearity, and chaos, thereby enhancing the comprehending of complex dynamical systems. Our research have potential applications in nonlinear science, particularly in fields where fractional-order models are used to explain physical phenomena with inherent damping and memory characteristics.

    MSC: 35C07, 35C08, 35C09, 35G20
  • 加载中
  • [1] S. Akram, S. Taoufik and M. ur Rahman, Unraveling symmetry, bifurcation dynamics, and exotic attractors analysis to the (3+1)-D modified KdV–Zakharov–Kuznetsov model, Math. Methods Appl. Sci., 2025. DOI: 10.1002/mma.70270.

    CrossRef Google Scholar

    [2] G. Ali, M. Marwan, U. U. Rahman and M. Hleili, Investigation of fractional-ordered tumor–immune interaction model via fractional-order derivative, Fractals, 2024, 32(6), 1–10.

    Google Scholar

    [3] R. Ali, Z. Zhang and H. Ahmad, Exploring soliton solutions in nonlinear spatiotemporal fractional quantum mechanics equations: An analytical study, Opt. Quantum Electron., 2024, 56(5), 838. doi: 10.1007/s11082-024-06370-2

    CrossRef Google Scholar

    [4] F. Badshah, K. U. Tariq, M. Inc and R. Javed, On soliton solutions of Fokas dynamical model via analytical approaches, Opt. Quantum Electron., 2024, 56(5), 743. doi: 10.1007/s11082-023-06198-2

    CrossRef Google Scholar

    [5] S. Behera, Analysis of traveling wave solutions of two space–time nonlinear fractional differential equations by the first-integral method, Mod. Phys. Lett. B, 2024, 38(4), 2350247. doi: 10.1142/S0217984923502470

    CrossRef Google Scholar

    [6] S. Behera, Multiple soliton solutions of some conformable fractional nonlinear models using Sine–Cosine method, Opt. Quantum Electron., 2024, 56(7), 1235. doi: 10.1007/s11082-024-06403-w

    CrossRef Google Scholar

    [7] J. Chen, W. Sun and S. Zheng, Encrypting images using multiple fractional-order drive–response systems with practical finite-time synchronization, Math. Comput. Simul., 2025,240,423–437.

    Google Scholar

    [8] J. Chen, W. Sun and S. Zheng, New predefined-time stability theorem and synchronization of fractional-order memristive delayed BAM neural networks, Commun. Nonlinear Sci. Numer. Simul., 2025, 108850.

    Google Scholar

    [9] Z. Eskandari, Z. Avazzadeh, R. K. Ghaziani and B. Li, Dynamics and bifurcations of a discrete-time Lotka–Volterra model using nonstandard finite difference discretization method, Math. Methods Appl. Sci., 2025, 48(7), 7197–7212. doi: 10.1002/mma.8859

    CrossRef Google Scholar

    [10] W. A. Faridi, M. A. Bakar, M. B. Riaz, Z. Myrzakulova, R. Myrzakulov and A. M. Mostafa, Exploring the optical soliton solutions of Heisenberg ferromagnet-type of Akbota equation arising in surface geometry by explicit approach, Opt. Quantum Electron., 2024, 56(6), 1046. doi: 10.1007/s11082-024-06904-8

    CrossRef Google Scholar

    [11] W. A. Faridi, M. Iqbal, M. B. Riaz, S. A. AlQahtani and A.-M. Wazwaz, The fractional soliton solutions of dynamical system arising in plasma physics: The comparative analysis, Alexandria Eng. J., 2024, 95,247–261. doi: 10.1016/j.aej.2024.03.061

    CrossRef Google Scholar

    [12] A. K. S. Hossain, M. A. Akbar and Md. I. Hossain, Modified simple equation technique for first-extended fifth-order nonlinear equation, medium equal width equation and Caudrey–Dodd–Gibbon equation, J. Umm Al-Qura Univ. Appl. Sci., 2024, 1–10.

    Google Scholar

    [13] A. K. S. Hossain, H. Akter and M. A. Akbar, Soliton solutions of DSW and Burgers equations by generalized (G'/G)-expansion method, Opt. Quantum Electron., 2024, 56(4), 653. doi: 10.1007/s11082-024-06319-5

    CrossRef Google Scholar

    [14] Md. N. Hossain, F. Alsharif, M. M. Miah and M. Kanan, Abundant new optical soliton solutions to the Biswas–Milovic equation with sensitivity analysis for optimization, Mathematics, 2024, 12(10), 1585. doi: 10.3390/math12101585

    CrossRef Google Scholar

    [15] Md. N. Hossain, M. M. Miah, M. Alosaimi, F. Alsharif and M. Kanan, Exploring novel soliton solutions to the time-fractional coupled Drinfel’d–Sokolov–Wilson equation in industrial engineering using two efficient techniques, Fractal Fract., 2024, 8(6), 352. doi: 10.3390/fractalfract8060352

    CrossRef Google Scholar

    [16] K. Hosseini, E. Hinçal, F. Alizadeh, D. Baleanu and M. S. Osman, Bifurcation analysis, sensitivity analysis, and Jacobi elliptic function structures to a generalized nonlinear Schrödinger equation, Int. J. Theor. Phys., 2024, 63(12), 306. doi: 10.1007/s10773-024-05829-y

    CrossRef Google Scholar

    [17] Md. A. Iqbal, A. H. Ganie, Md. M. Miah and M. S. Osman, Extracting the ultimate new soliton solutions of some nonlinear time fractional PDEs via the conformable fractional derivative, Fractal Fract., 2024, 8(4), 210. doi: 10.3390/fractalfract8040210

    CrossRef Google Scholar

    [18] R. Islam, M. A. Kawser, M. S. Rana and M. N. Islam, Mathematical analysis of soliton solutions in space–time fractional Klein–Gordon model with generalized exponential rational function method, PDEs Appl. Math., 2024, 12, 100942.

    Google Scholar

    [19] Z. P. Izgi, M. O. Koprulu and H. Koçak, Symbolic computations for exact solutions of fractional partial differential equations with reaction term, in Computation and Modeling for Fractional Order Systems, Academic Press, 2024,199–212.

    Google Scholar

    [20] Y. Jazaa, M. Iqbal, A. R. Seadawy, S. Alqahtani, A. A. Rajhi, S. M. Boulaaras and E. A. Az-Zo’bi, On the exploration of solitary wave structures to the nonlinear Landau–Ginsberg–Higgs equation under improved F-expansion method, Opt. Quantum Electron., 2024, 56(7), 1181. doi: 10.1007/s11082-024-06458-9

    CrossRef Google Scholar

    [21] B. Li, H. Liang and Q. He, Multiple and generic bifurcation analysis of a discrete Hindmarsh–Rose model, Chaos Solitons Fractals, 2021,146, 110856. doi: 10.1016/j.chaos.2021.110856

    CrossRef Google Scholar

    [22] P. Li, R. Gao, C. Xu, Y. Li, A. Akgül and D. Baleanu, Dynamics exploration for a fractional-order delayed zooplankton–phytoplankton system, Chaos Solitons Fractals, 2023,166, 112975. doi: 10.1016/j.chaos.2022.112975

    CrossRef Google Scholar

    [23] T. Mahmood, G. Alhawael, S. Akram and M. ur Rahman, Exploring the Lie symmetries, conservation laws, bifurcation analysis and dynamical waveform patterns of diverse exact solution to the Klein–Gordon equation, Opt. Quantum Electron., 2024, 56(12), 1978. doi: 10.1007/s11082-024-07814-5

    CrossRef Google Scholar

    [24] M. A. S. Murad, W. A. Faridi, M. Iqbal, A. H. Arnous, N. A. Shah and J. D. Chung, Analysis of Kudryashov’s equation with conformable derivative via the modified Sardar sub-equation algorithm, Results Phys., 2024, 60, 107678. doi: 10.1016/j.rinp.2024.107678

    CrossRef Google Scholar

    [25] M. Nadeem, F. Liu and Y. Alsayaad, Analyzing the dynamical sensitivity and soliton solutions of time-fractional Schrödinger model with beta derivative, Sci. Rep., 2024, 14(1), 8301. doi: 10.1038/s41598-024-58796-z

    CrossRef Google Scholar

    [26] Md. M. Roshid, M. M. Rahman, H.-O. Roshid and Md. H. Bashar, A variety of soliton solutions of time M-fractional nonlinear models via a unified technique, PLoS One, 2024, 19(4), e0300321. doi: 10.1371/journal.pone.0300321

    CrossRef Google Scholar

    [27] A. Said, A. Bakkar, H. Khan, C. Cattani and F. Tchier, Construction of mechanically preserved optical travelling wave solution for fractional generalized reaction Duffing model, J. Appl. Comput. Mech., 2025.

    Google Scholar

    [28] I. Samir and H. M. Ahmed, Retrieval of solitons and other wave solutions for stochastic nonlinear Schrödinger equation with non-local nonlinearity using the improved modified extended tanh-function method, J. Opt., 2024, 1–10.

    Google Scholar

    [29] I. Samir, H. M. Ahmed, W. Rabie, W. Abbas and O. Mostafa, Construction optical solitons of generalized nonlinear Schrödinger equation with quintuple power-law nonlinearity using Exp-function, projective Riccati, and new generalized methods, AIMS Math., 2025, 10(2), 3392–3407. doi: 10.3934/math.2025157

    CrossRef Google Scholar

    [30] M. Shakeel, A. Bibi, A. Zafar and M. Sohail, Solitary wave solutions of Camassa–Holm and Degasperis–Procesi equations with Atangana’s conformable derivative, Comput. Appl. Math., 2023, 42(2), 101. doi: 10.1007/s40314-023-02238-5

    CrossRef Google Scholar

    [31] M. A. El-Shorbagy, S. Akram and M. ur Rahman, Propagation of solitary wave solutions to (4+1)-dimensional Davey–Stewartson–Kadomtsev–Petviashvili equation arise in mathematical physics and stability analysis, PDEs Appl. Math., 2024, 10, 100669.

    Google Scholar

    [32] M. A. El-Shorbagy, S. Akram, M. ur Rahman and H. A. Nabwey, Analysis of bifurcation, chaotic structures, lump and M–W-shape soliton solutions to (2+1) complex modified Korteweg–de Vries system, AIMS Math., 2024, 9(6), 16116–16145. doi: 10.3934/math.2024780

    CrossRef Google Scholar

    [33] K. U. Tariq, M. Inc and M. S. Hashemi, On the soliton structures to the space–time fractional generalized reaction Duffing model and its applications, Opt. Quantum Electron., 2024, 56(4), 708. doi: 10.1007/s11082-024-06348-0

    CrossRef Google Scholar

    [34] C. Xu, M. Liao, M. Farman and A. Shehzade, Hydrogenolysis of glycerol by heterogeneous catalysis: A fractional order kinetic model with analysis, MATCH Commun. Math. Comput. Chem., 2024, 91(3), 635–664. doi: 10.46793/match.91-3.635X

    CrossRef Google Scholar

    [35] S. Akram and M. ur Rahman, Multiscale soliton structures and dynamical analysis of nonlinear discrete electrical lattices modeled by the Salerno equation, Nonlinear Dyn., 2025, 113, 32723–32744. doi: 10.1007/s11071-025-11780-2

    CrossRef Google Scholar

    [36] S. Akram and Mati ur Rahman, Exploring Nonlinear dynamics and soliton structures in the spin reduced Hirota-Maxwell-Bloch system via Atangana’s conformable operator, Chin. J. Phys., 2025, 97, 1514–1538. doi: 10.1016/j.cjph.2025.08.016

    CrossRef Google Scholar

    [37] S. Akram, M. ur Rahman and L. A. AL-Essa, A comprehensive dynamical analysis of (2+1)-dimensional nonlinear electrical transmission line model with Atangana–Baleanu derivative, Phys. Lett. A, 2025, 130762.

    Google Scholar

    [38] Y. Yasmin, H. Humaira, A. S. Alshehry, A. H. Ganie, A. M. Mahnashi and R. Shah, Perturbed Gerdjikov–Ivanov equation: Soliton solutions via Bäcklund transformation, Optik, 2024,298, 171576. doi: 10.1016/j.ijleo.2023.171576

    CrossRef Google Scholar

    [39] X. Zhang, X. Yang and Q. He, Multi-scale systemic risk and spillover networks of commodity markets in the bullish and bearish regimes, North Am. J. Econ. Finance, 2022, 62, 101766. doi: 10.1016/j.najef.2022.101766

    CrossRef Google Scholar

    [40] X. Zhu, P. Xia, Q. He, Z. Ni and L. Ni, Coke price prediction approach based on dense GRU and opposition-based learning salp swarm algorithm, Int. J. Bio-Inspired Comput., 2023, 21(2), 106–121. doi: 10.1504/IJBIC.2023.130549

    CrossRef Google Scholar

Figures(18)  /  Tables(2)

Article Metrics

Article views(415) PDF downloads(176) Cited by(0)

Access History

Other Articles By Authors

Catalog

    /

    DownLoad:  Full-Size Img  PowerPoint