2026 Volume 16 Issue 3
Article Contents

Yandan Zhang, Tailei Zhang, Zhimin Li. A RUBELLA EPIDEMIC MODEL WITH SEASONALITY[J]. Journal of Applied Analysis & Computation, 2026, 16(3): 1207-1225. doi: 10.11948/20250104
Citation: Yandan Zhang, Tailei Zhang, Zhimin Li. A RUBELLA EPIDEMIC MODEL WITH SEASONALITY[J]. Journal of Applied Analysis & Computation, 2026, 16(3): 1207-1225. doi: 10.11948/20250104

A RUBELLA EPIDEMIC MODEL WITH SEASONALITY

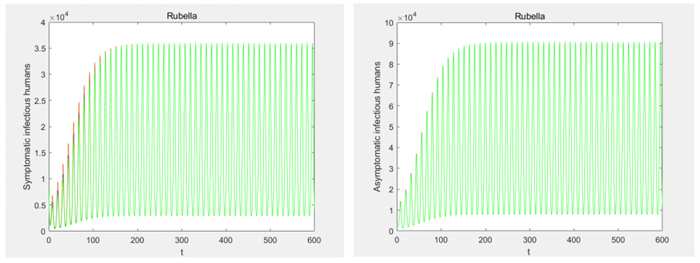
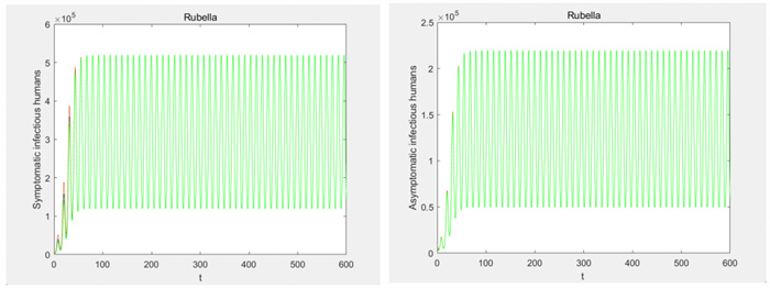
  • In this paper, we formulate a periodic SVPEAIRS model based on the transmission features of rubella. We define the basic reproduction number R0 and show that the disease-free equilibrium is globally asymptotically stable when R0 < 1. The disease is uniformly persistent and there is at least one positive periodic solution when R0>1. Numerically, we find that rubella cases in China fluctuate periodically with seasonal changes. Furthermore, when the vaccination rate significantly drops from 0.3 to 0.15, or the recovery rate decreases from 0.6 to 0.3, the rubella epidemic will show an explosive growth trend. This finding emphasizes the great significance of maintaining a high vaccination coverage rate and improving the efficiency of medical treatment in preventing the large-scale spread of rubella. Finally, we analyze the bifurcation phenomenon of the model.

    MSC: 34A34, 34C60, 92C40, 92D30
  • 加载中
  • [1] S. O. Adewale, T. O. Oluyo, L. W. Olaitan and J. K. Oladejo, Mathematical analysis of rubella disease dynamics: The role of vertical transmission and vaccination, Transpublika International Research in Exact Sciences, 2024, 3(4), 28–43. doi: 10.55047/tires.v3i4.1455

    CrossRef Google Scholar

    [2] D. Aleanu, H. Mohammadi and S. Rezapour, A mathematical theoretical study of a particular system of Caputo–Fabrizio fractional differential equations for the Rubella disease model, Advances in Difference Equations, 2020, 2020, 184. DOI: 10.1186/s13662-020-02614-z.

    CrossRef Google Scholar

    [3] J. P. S. M. de Carvalho and A. A Rodrigues, Strange attractors in a dynamical system inspired by a seasonally forced SIR model, Physica D: Nonlinear Phenomena, 2022, 434, 133268. DOI: 10.1016/j.physd.2022.133268.

    CrossRef Google Scholar

    [4] J. P. S. M. de Carvalho and A. A Rodrigues, Pulse vaccination in a SIR model: Global dynamics, bifurcations and seasonality, Communications in Nonlinear Science and Numerical Simulation, 2024, 139, 108272. DOI: 10.1016/j.cnsns.2024.108272.

    CrossRef Google Scholar

    [5] P. Van den Driessche and J. Watmough, Reproduction numbers and sub-threshold endemic equilibria for compartmental models of disease transmission, Mathematical Biosciences, 2002, 180(1–2), 29–48.

    Google Scholar

    [6] M. Han and Y. Ye, On the stability of periodic solutions of piecewise smooth periodic differential equations, Acta Mathematica Scientia, 2024, 44(4), 1524–1535. doi: 10.1007/s10473-024-0418-2

    CrossRef Google Scholar

    [7] A. Hurford, X. Wang and X. -Q. Zhao, Regional climate affects salmon lice dynamics, stage structure and management, Proceedings of the Royal Society B, 2019, 286. DOI: 10.1098/rspb.2019.0428.

    CrossRef Google Scholar

    [8] I. Koca, Analysis of rubella disease model with non-local and non-singular fractional derivatives, An International Journal of Optimization and Control: Theories and Applications, 2018, 8(1), 17–25.

    Google Scholar

    [9] Z. Li and T. Zhang, Analysis of a COVID-19 epidemic model with seasonality, Bulletin of Mathematical Biology, 2022, 84, 146. DOI: 10.1007/s11538-022-01105-4.

    CrossRef Google Scholar

    [10] Z. Li and X. -Q. Zhao, Global dynamics of a nonlocal periodic reaction-diffusion model of Chikungunya disease, Journal of Dynamics and Differential Equations, 2024, 36(4), 3073–3107. doi: 10.1007/s10884-023-10267-1

    CrossRef Google Scholar

    [11] Y. Ma, K. Liu, W. Hu, S. Song, S. Zhang and Z. Shao, Epidemiological characteristics, seasonal dynamic patterns, and associations with meteorological factors of Rubella in Shaanxi Province, China, 2005–2018, The American Journal of Tropical Medicine and Hygiene, 2020, 104, 166–174. DOI: 10.4269/AJTMH.20-0585.

    Google Scholar

    [12] F. O. Ochieng, SEIRS model for malaria transmission dynamics incorporating seasonality and awareness campaign, Infectious Disease Modelling, 2024, 9(1), 84–102. doi: 10.1016/j.idm.2023.11.010

    CrossRef Google Scholar

    [13] B. P. Prawoto, A. Abadi and R. Artiono, Dynamic of re-infection rubella transmission model with vaccination, AIP Conference Proceedings, 2020, 2264(1), 020005.

    Google Scholar

    [14] M. M. Al Qurashi, Role of fractal-fractional operators in modeling of rubella epidemic with optimized orders, Open Physics, 2020, 18(1), 1111–1120. doi: 10.1515/phys-2020-0217

    CrossRef Google Scholar

    [15] P. Strebel, M, Grabowsky and E. Hoekstra, A. Gay and S. Cochi, Evolution and contribution of a global partnership against measles and rubella, 2001–2023, Vaccines, 2024, 12(6), 693. DOI: 10.3390/VACCINES12060693.

    CrossRef Google Scholar

    [16] G. T. Tilahun, T. M. Tolasa, M. D. Asfaw and G. A. Wole, Stochastic and deterministic models for rubella dynamics with two doses of vaccination and vertical transmission, Discrete Dynamics in Nature and Society, 2024. DOI: 10.1155/2024/9697951.

    CrossRef Google Scholar

    [17] G. T. Tilahun, T. M. Tolasa and G. A. Wole, Modeling the dynamics of rubella disease with vertical transmission, Heliyon, 2022, 8(11), e11794. DOI: 10.1016/j.heliyon.2022.e11797.

    CrossRef Google Scholar

    [18] W. Wang and X. -Q. Zhao, Threshold dynamics for compartmental epidemic models in periodic environments, Journal of Dynamics and Differential Equations, 2008, 20(3), 699–717. doi: 10.1007/s10884-008-9111-8

    CrossRef Google Scholar

    [19] World Health Organization, Immunological basis for immunization: Module 11: Rubella, 2008. https://www.who.int/publications/i/item/9789241596848.

    Google Scholar

    [20] World Health Organization, Surveillance guidelines for measles, rubella and congenital rubella syndrome in the WHO European Region, 2012. https://pesquisa.bvsalud.org/portal/resource/pt/biblio-1053404.

    Google Scholar

    [21] H. M. Yang and A. R. R. Freitas, Biological view of vaccination described by mathematical modellings: From rubella to dengue vaccines, Math. Biosci. Eng., 2019, 16(4), 3195–3214.

    Google Scholar

    [22] X. -Q. Zhao, Dynamical Systems in Population Biology, Springer International Publishing, New York, 2017.

    Google Scholar

    [23] F. Zhang and X. -Q. Zhao, A periodic epidemic model in a patchy environment, Journal of Mathematical Analysis and Applications, 2007, 325(1), 496–516. doi: 10.1016/j.jmaa.2006.01.085

    CrossRef Google Scholar

Figures(7)  /  Tables(2)

Article Metrics

Article views(432) PDF downloads(219) Cited by(0)

Access History

Other Articles By Authors

Catalog

    /

    DownLoad:  Full-Size Img  PowerPoint