2026 Volume 16 Issue 3
Article Contents

D. D. Pawar, R. D. Kadam, Sultan S Alshamrani, Wagdi F. S. Ahmed. EXPLORING THE DOUBLE ARA-KAMAL TRANSFORM FOR SOLVING FRACTIONAL PARTIAL DIFFERENTIAL EQUATIONS[J]. Journal of Applied Analysis & Computation, 2026, 16(3): 1226-1243. doi: 10.11948/20250038
Citation: D. D. Pawar, R. D. Kadam, Sultan S Alshamrani, Wagdi F. S. Ahmed. EXPLORING THE DOUBLE ARA-KAMAL TRANSFORM FOR SOLVING FRACTIONAL PARTIAL DIFFERENTIAL EQUATIONS[J]. Journal of Applied Analysis & Computation, 2026, 16(3): 1226-1243. doi: 10.11948/20250038

EXPLORING THE DOUBLE ARA-KAMAL TRANSFORM FOR SOLVING FRACTIONAL PARTIAL DIFFERENTIAL EQUATIONS

  • Author Bio: Email: dypawar@yahoo.com(D. D. Pawar); Email: kadamram3113@gmail.com(R. D. Kadam); Email: susamash@tu.edu.sa(S. S Alshamrani)
  • Corresponding author: Email: wagdialakel@gmail.com(W. F. S. Ahmed)
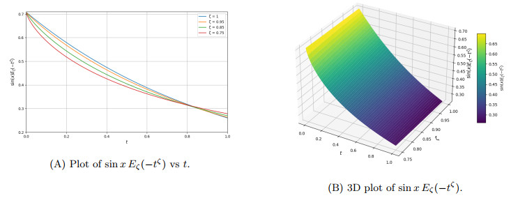
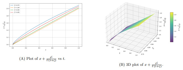
  • In this article, we explore the application of the double ARA-Kamal transformation (DARA-KT) to the nonlocal fractional Caputo derivative operator. Our investigation yields intriguing findings, particularly in solving certain classes of fractional partial differential equations (FPDEs). We delve into various physical scenarios, including Wave, Klein-Gordon, and Fokker-Planck equations, analyzing their implications. The incorporation of the DARA-KT technique proves to be both efficient and precise in deriving exact solutions for FPDEs. To demonstrate the practicality of our approach, we present some numerical examples and figures.

    MSC: 44A05, 26A33, 35R11
  • 加载中
  • [1] P. Agarwal, R. P. Agarwal and M. Ruzhansky, Special Functions and Analysis of Differential Equations, Chapman and Hall: London, UK; CRC: New York, NY, USA, 2020.

    Google Scholar

    [2] S. A. Ahmed, T. M. Elzaki and A. A. Hassan, Solution of integral differential equations by new double integral transform (Laplace–Sumudu transform), in Abstract and Applied Analysis, Hindawi Limited, 2020, 1–7.

    Google Scholar

    [3] S. A. Ahmed, A. Qazza and R. Saadeh, Exact solutions of nonlinear partial differential equations via the new double integral transform combined with iterative method, Axioms, 2022, 11(6), 247. doi: 10.3390/axioms11060247

    CrossRef Google Scholar

    [4] W. F. Ahmed and D. D. Pawar, Application of Sumudu transform on fractional kinetic equation pertaining to the generalized k-wright function, Advances in Mathematics: Scientific Journal, 2020, 9(10), 8091–8103. doi: 10.37418/amsj.9.10.41

    CrossRef Google Scholar

    [5] W. F. Ahmed, D. D. Pawar and W. D. Patil, Fractional kinetic equations involving generalized V function via Laplace transform, Advances in Mathematics: Scientific, 2021, 10, 2593–2610. doi: 10.37418/amsj.10.5.23

    CrossRef Google Scholar

    [6] W. F. Ahmed, D. D. Pawar and A. Y. Salamooni, On the solution of kinetic equation for Katugampola type fractional differential equations, Journal of Dynamical Systems and Geometric Theories, 2021, 19(1), 125–134. doi: 10.1080/1726037X.2021.1966946

    CrossRef Google Scholar

    [7] W. F. Ahmed, A. Y. Salamooni and D. D. Pawar, Solution of fractional kinetic equation for Hadamard type fractional integral via Mellin transform, Gulf Journal of Mathematics, 2022, 12(1), 15–27. doi: 10.56947/gjom.v12i1.781

    CrossRef Google Scholar

    [8] O. J. J. Algahtani, Comparing the Atangana-Baleanu and Caputo-Fabrizio derivative with fractional order: Allen Cahn model, Chaos Solitons Fractals, Nonlinear Dyn. Complex., 2016, 89, 552–559. doi: 10.1016/j.chaos.2016.03.026

    CrossRef Google Scholar

    [9] S. Alfaqeih and E. Misirli, On double Shehu transform and its properties with applications, International Journal of Analysis and Applications, 2020, 18(3), 381–395.

    Google Scholar

    [10] A. Ali, T. Minamoto, R. Shah and K. Nonlaopon, A novel numerical method for solution of fractional partial differential equations involving the $\psi$-Caputo fractional derivative, AIMS Mathematics, 2023, 8(1), 2137–2153.

    Google Scholar

    [11] A. Atangana and D. Baleanu, New fractional derivatives with nonlocal and non-singular kernel: Theory and application to heat transfer model, Therm. Sci., 2016, 20, 763–769. doi: 10.2298/TSCI160111018A

    CrossRef Google Scholar

    [12] A. Atangana and A. Kilicman, A Novel Integral Operator Transform and its Application to some FODE and FPDE with some Kind of Singularities, Mathematical Problems in Engineering, 2013.

    Google Scholar

    [13] B. Barnes, Polynomial integral transform for solving differential equations, European Journal of Pure and Applied Mathematics, 2016, 9(2), 140–151.

    Google Scholar

    [14] F. B. M. Belgacem and A. A. Karaballi, Sumudu transform fundamental properties investigations and applications, Int. J. Stoch. Anal., 2016, 231.

    Google Scholar

    [15] S. Bochner and K. Chandrasekharan, Fourier Transforms, No. 19, Princeton University Press, 1949.

    Google Scholar

    [16] A. Burqan, R. Saadeh and A. Qazza, ARA-residual power series method for solving partial fractional differential equations, Alex. Eng. J., 2022, 62, 47–62.

    Google Scholar

    [17] M. Caputo and M. Fabrizio, A new definition of fractional derivative without singular kernel, Prog. Fract. Differ. Appl., 2015, 1, 73–85.

    Google Scholar

    [18] C. Constanda, Solution Techniques for Elementary Partial Differential Equations, CRC press, 2022.

    Google Scholar

    [19] L. Debnath, The double Laplace transforms and their properties with applications to functional, integral and partial differential equations, International Journal of Applied and Computational Mathematics, 2016, 2, 223–241.

    Google Scholar

    [20] R. R. Dhunde and G. L. Waghmare, Double Laplace transform method in mathematical physics, Int. J. Theor. Math. Phys., 2017, 7, 14–20.

    Google Scholar

    [21] T. M. Elzaki, The new integral transform Elzaki transform, Global Journal of Pure and Applied Mathematics, 2011, 7(1), 57–64.

    Google Scholar

    [22] T. M. Elzaki and S. A. Ahmed, Novel approach for solving fractional partial differential equations using conformable Elzaki transform, Journal of Umm Al-Qura University for Applied Sciences, 2024, 1–6.

    Google Scholar

    [23] J. A. Ganie, A. Ahmad and R. Jain, Research article basic analogue of double Sumudu transform and its applicability in population dynamics, Asian J. Math., 2018, 11, 12–17.

    Google Scholar

    [24] M. M. A. Hammad, W. G. Alshanti, A. Alshanty and R. Khalil, Tensor product technique and atomic solution of fractional partial differential equations, Journal of Applied Mathematics, 2024, (1), 7607714.

    Google Scholar

    [25] M. I. Idrees, Z. Ahmed, M. Awais and Z. Perveen, On the convergence of double Elzaki transform, Int. J. Adv. Appl. Sci., 2018, 5, 19–24.

    Google Scholar

    [26] A. Kamal and H. Sedeeg, The new integral transform Kamal transform, Advances in Theoretical and Applied Mathematics, 2016, 11(4), 451–458.

    Google Scholar

    [27] A. Kiliçman and H. Eltayeb, Some remarks on the Sumudu and Laplace transforms and applications to differential equations, Int. Sch. Res. Not., 2012, 13.

    Google Scholar

    [28] A. Kiliçman and H. E. Gadain, An application of double Laplace transform and double Sumudu transform, Lobachevskii J. Math., 2009, 30, 214–223. doi: 10.1134/S1995080209030044

    CrossRef Google Scholar

    [29] D. D. Pawar and W. F. Ahmed, Solution of fractional kinetic equations involving generalized q-Bessel function, Results in Nonlinear Analysis, 2022, 5(1), 87–95. doi: 10.53006/rna.1009728

    CrossRef Google Scholar

    [30] D. D. Pawar, G. G. Bhuttampalle, S. B. Chavhan, W. F. Ahmed and R. D. Kadam, Quadruple Shehu transform and its applications, arXiv preprint, 2022. arXiv: 2211.17265.

    Google Scholar

    [31] D. D. Pawar, R. D. Kadam, G. G. Bhuttampalle and W. F. Ahmed, A study of double ARA-Kamal transform properties and applications, Advances in Dynamical Systems and Applications, 2024, 19(1), 75–90.

    Google Scholar

    [32] A. Qazza, A. Burqan and R. Saadeh, A new attractive method in solving families of fractional differential equations by a new transform, Mathematics, 2021, 9(23), 3039. doi: 10.3390/math9233039

    CrossRef Google Scholar

    [33] H. Qin, D. Li and Z. Zhang, A novel scheme to capture the initial dramatic evolutions of nonlinear subdiffusion equations, J. Sci. Comput., 2021, 89, 65. doi: 10.1007/s10915-021-01672-z

    CrossRef Google Scholar

    [34] R. Saadeh, A. Qazza and A. Burqan, A new integral transform: ARA transform and its properties and applications, Symmetry, 2020, 12(6), 925. doi: 10.3390/sym12060925

    CrossRef Google Scholar

    [35] R. Saadeh, A. Qazza and A. Burqan, On the double ARA-Sumudu transform and its applications, Mathematics, 2022, 10(15), 2581. doi: 10.3390/math10152581

    CrossRef Google Scholar

    [36] H. M. Srivastava, L. U. O. Minjie and R. K. Raina, A new integral transform and its applications, Acta Mathematica Scientia, 2015, 35(6), 1386–1400. doi: 10.1016/S0252-9602(15)30061-8

    CrossRef Google Scholar

    [37] A. Sunarto, P. Agarwal, J. V. L. Chew and J. Sulaiman, Approximation solution of the fractional parabolic partial differential equation by the half-sweep and preconditioned relaxation, Symmetry, 2021, 13, 1005. doi: 10.3390/sym13061005

    CrossRef Google Scholar

    [38] S. T. Thabet, W. F. Ahmed and D. D. Pawar, On fractional kinetic equation relating to the generalized k-Bessel function by the Mellin transform, Journal of Fractional Calculus and Nonlinear Systems, 2022, 3(2), 1–12.

    Google Scholar

    [39] U. Tyn Myint, Partial Differential Equations of Mathematical Physics, Courier Dover Publications: New York, NY, USA, 1980.

    Google Scholar

    [40] V. Widder, The Laplace Transform, Princeton University Press, Princeton, NJ, USA, 1941.

    Google Scholar

    [41] D. Ziane and M. Hamdi Cherif, A new analytical solution of Klein–Gordon equation with local fractional derivative, Asian-Eur. J. Math., 2021, 14, 2150029. doi: 10.1142/S1793557121500297

    CrossRef Google Scholar

Figures(4)  /  Tables(2)

Article Metrics

Article views(558) PDF downloads(168) Cited by(0)

Access History

Catalog

    /

    DownLoad:  Full-Size Img  PowerPoint