2026 Volume 16 Issue 3
Article Contents

Jingwen Wang, Dongxia Zhao. EXPONENTIAL STABILITY OF SAINT-VENANT EQUATIONS IN SUPERCRITICAL FLOW[J]. Journal of Applied Analysis & Computation, 2026, 16(3): 1244-1255. doi: 10.11948/20250198
Citation: Jingwen Wang, Dongxia Zhao. EXPONENTIAL STABILITY OF SAINT-VENANT EQUATIONS IN SUPERCRITICAL FLOW[J]. Journal of Applied Analysis & Computation, 2026, 16(3): 1244-1255. doi: 10.11948/20250198

EXPONENTIAL STABILITY OF SAINT-VENANT EQUATIONS IN SUPERCRITICAL FLOW

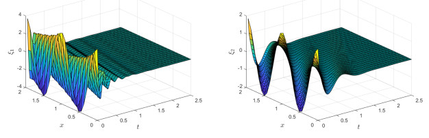
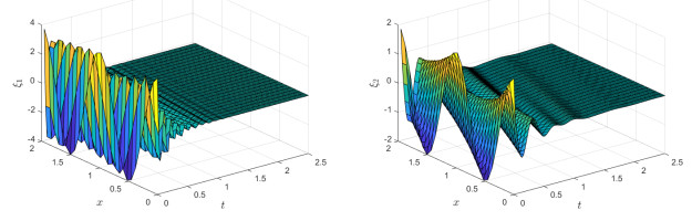
  • In this paper, the stability of a class of $2\times 2$ hyperbolic systems with the same sign propagation speeds is investigated under proportional feedback control. Semigroup theory is used to verify the well-posedness of the system. The exponential stability of the closed-loop system is analyzed by constructing a strictly weighted Lyapunov function. In addition, the characteristic equation and eigenfunctions of the system are deduced. For the special case where $\gamma$ is equal to 0, by using Schur-Cohn criterion, the sufficient and necessary stability conditions, which make the eigenvalues have the negative real part, is obtained.

    MSC: 34H05, 35L60, 93D15
  • 加载中
  • [1] G. A. de Andrade, R. Vazquez, I. Karafyllis and M. Krstic, Backstepping control of a hyperbolic PDE system with zero characteristic speed states, IEEE Trans. Autom. Control, 2024, 69(10), 6988–6995.

    Google Scholar

    [2] G. Bastin and J.-M. Coron, Stability and Boundary Stabilization of 1-D Hyperbolic Systems, Birkhäuser Cham, Switzerland, 2016.

    Google Scholar

    [3] G. Bastin and J.-M. Coron, Exponential stability of PI control for Saint-Venant equations with a friction term, Methods Appl. Anal., 2019, 26(2), 101–112.

    Google Scholar

    [4] G. Bastin, J.-M. Coron and B. d'Andréa Novel, On lyapunov stability of linearised Saint-Venant equations for a sloping, Netw. Heterog. Media, 2009, 4(2), 177–187.

    Google Scholar

    [5] G. Bastin, J.-M. Coron and A. Hayat, Feedforward boundary control of 2×2 nonlinear hyperbolic systems with application to Saint-Venant equations, Eur. J. Control., 2021, 57, 41–53.

    Google Scholar

    [6] R. Benzaid and A. Benaissa. Indirect boundary stabilization for weakly coupled degenerate wave equations under fractional damping, J. Appl. Anal. Comput., 2024, 14(3), 1735–1770.

    Google Scholar

    [7] J. Deutscher, N. Gehring and N. Jung, Backstepping control of coupled general hyperbolic-parabolic PDE-PED systems, IEEE Trans. Autom. Control, 2023, 69(5), 3465–3472.

    Google Scholar

    [8] A. Diagne, M. Diagne, S. Tang and M. Krstic, Backstepping stabilization of the linearized Saint-Venant–Exner model, Automatica, 2017, 76, 345–354.

    Google Scholar

    [9] M. Gugat, G. Leugering and E. J. P. G. Schmidt, Global controllability between steady supercritical flows in channel networks, Math. Methods Appl. Sci., 2004, 27(7), 781–802.

    Google Scholar

    [10] B. Guo, Y. Xiao and Y. Ban, Orbital stability of solitary waves for the nonlinear Schrödinger-KdV system, J. Appl. Anal. Comput., 2022, 12(1), 245–255.

    Google Scholar

    [11] A. Hayat, On boundary stability of inhomogeneous 2×2 1-D hyperbolic systems for the C1 norm, ESAIM: Control Optim. Calc. Var., 2019, 25(82).

    Google Scholar

    [12] A. Hayat, Y. Hu and P. Shang, PI control for the cascade channels modeled by general Saint-Venant equations, IEEE Trans. Autom. Control, 2023, 69(8), 4974–4987.

    Google Scholar

    [13] A. Hayat and P. Shang, A quadratic lyapunov function for Saint-Venant equations with arbitrary friction and space-varying slope, Automatica, 2019, 100, 52–60.

    Google Scholar

    [14] J. P. LaSalle, The Stability and Control of Discrete Processes, Springer-Verlag, New York, 1986.

    Google Scholar

    [15] E. Somathilake and M. Diagne, Output feedback control of suspended sediment load entrainment in water canals and reservoirs, IFAC-PapersOnLine, 2024, 58(28), 983–988.

    Google Scholar

    [16] H. Yu and M. Krstic, Traffic Congestion Control by PDE Backstepping, Birkhäuser Cham, Switzerland, 2022.

    Google Scholar

    [17] B. Zhang, F. Zheng and Y. He, Uniformly exponentially stable approximation for the transmission line with variable coefficients and its application, J. Appl. Anal. Comput., 2024, 14(4), 2228–2256.

    Google Scholar

    [18] D. Zhao and F. Bao, The stability analysis for a 2×2 conservation law with PI controller and PDP controller, J. Math., 2023, 2023, 4382517.

    Google Scholar

    [19] D. Zhao, D. Fan and Y. Guo, The spectral analysis and exponential stability of a 1-d 2×2 hyperbolic system with proportional feedback control, Int. J. Control, Autom. Syst., 2022, 20(8), 2633–2640.

    Google Scholar

Figures(2)

Article Metrics

Article views(456) PDF downloads(172) Cited by(0)

Access History

Other Articles By Authors

Catalog

    /

    DownLoad:  Full-Size Img  PowerPoint