2025 Volume 15 Issue 5
Article Contents

Yue Liu, Jing Pang, Yajun Du, Tianle Yin. MODIFIED HOMOTOPY PERTURBATION METHODS FOR SOLVING PARTIAL DIFFERENTIAL EQUATIONS[J]. Journal of Applied Analysis & Computation, 2025, 15(5): 2853-2865. doi: 10.11948/20250011
Citation: Yue Liu, Jing Pang, Yajun Du, Tianle Yin. MODIFIED HOMOTOPY PERTURBATION METHODS FOR SOLVING PARTIAL DIFFERENTIAL EQUATIONS[J]. Journal of Applied Analysis & Computation, 2025, 15(5): 2853-2865. doi: 10.11948/20250011

MODIFIED HOMOTOPY PERTURBATION METHODS FOR SOLVING PARTIAL DIFFERENTIAL EQUATIONS

  • Author Bio: Email: 1072729566@qq.com(Y. Liu); Email: mutujun2022@163.com(Y. J. Du); Email: 3012030050@qq.com(T. L. Yin)
  • Corresponding author: Email: pang_j@imut.edu.cn(J. Pang) 
  • Fund Project: The authors were supported by National Natural Science Foundation of China (10561151), Basic Science Research Fund in the Universities Directly Under the Inner Mongolia Autonomous Region (JY20220003) and Graduate Research Innovation Project in Inner Mongolia Autonomous Region (B20231102Z)
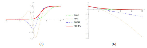
  • Homotopy perturbation method can be widely accepted for approximating or accurately solving nonlinear differential equations due to its generality and ease of use. Rational homotopy perturbation method and Rational biparameter homotopy perturbation method are two extensions of homotopy perturbation method which can improve the accuracy of the solution. In this paper, the algorithm steps of these two derived methods are introduced, meanwhile, the approximate solutions of Burgers equation and Gardner equation are obtained. Absolute errors of these two methods in solving partial differential equations are calculated and described to verify the effectiveness of the methods.

    MSC: 35C10, 41A58
  • 加载中
  • [1] K. S. Albalawi, B. S. Alkahtani, A. Kumar and P. Goswami, Numerical solution of time-fractional Emden-Fowler-type equations using the Rational homotopy perturbation method, Symmetry-Basel, 2023, 15(2), 258–258. doi: 10.3390/sym15020258

    CrossRef Google Scholar

    [2] A. M. Alqahtani, Solution of the generalized Burgers equation using homotopy perturbation method with general fractional derivative, Symmetry-Base, 2023, 15(3), 634–634. doi: 10.3390/sym15030634

    CrossRef Google Scholar

    [3] A. Arafa and G. Elmahdy, Application of residual power series method to fractional coupled physical equations arising in fluids flow, International Journal of Differential Equations, 2018, 1–10.

    Google Scholar

    [4] J. Biazar, M. A. Asadi and F. Salehi, Rational homotopy perturbation method for solving stiff systems of ordinary differential equations, Applied Mathematical Modelling, 2015, 39(3–4), 1291–1299.

    Google Scholar

    [5] J. Biazar and H. Ghazvini, Exact solutions for nonlinear Burgers' equation by homotopy perturbation method, Numerical Methods for Partial Differential Equations, 2009, 25(4), 833–842. doi: 10.1002/num.20376

    CrossRef Google Scholar

    [6] J. M. Burger, A Mathematical Model Illustrating the Theory of Turbulence, Academic Press, New York, 1948.

    Google Scholar

    [7] C. Cesarano, Y. Massoun, A. Said and M. E. Talbi, Analytic study of coupled Burgers' equation, Mathematics, 2023, 11(9), 2071–2071. doi: 10.3390/math11092071

    CrossRef Google Scholar

    [8] S. Chen, Comparison and Application Research Based on Homotopy Perturbation Derivation Method, Ph.M. University of Science and Technology Liaoning, 2022.

    Google Scholar

    [9] Y. J. Du, T. L. Yin and J. Pang, The exact solutions of Schrödinger-Hirota equation based on the auxiliary equation method, Optical and Quantum Electronics, 2024, 56(5).

    Google Scholar

    [10] J. H. He, Homotopy perturbation technique, Computer Methods in Applied Mechanics and Engineering, 1999, 178(3–4), 257–262.

    Google Scholar

    [11] M. Inc, On numerical solution of Burgers' equation by homotopy analysis method, Physics Letters A, 2008, 372(4), 356–360. doi: 10.1016/j.physleta.2007.07.057

    CrossRef Google Scholar

    [12] O. S. Iyiola and O. G. Olayinka, Analytical solutions of time-fractional models for homogeneous Gardner equation and non-homogeneous differential equations, Ain Shams Engineering Jouanal, 2014, 5(3), 999–1004. doi: 10.1016/j.asej.2014.03.014

    CrossRef Google Scholar

    [13] M. Kapoor, Exact solution of coupled 1D non-linear Burgers' equation by using homotopy perturbation method (HPM): A review, Journal of Physics Communications, 2020, 4(9), 1–6.

    Google Scholar

    [14] M. Kumar and D. V. Tanwar, On Lie symmetries and invariant solutions of (2+1)-dimensional Gardner equation, Communications in Nonlinear Science and Numerical Simulation, 2019, 69, 45–57. doi: 10.1016/j.cnsns.2018.09.009

    CrossRef Google Scholar

    [15] H. Vázquez-Leal, Rational homotopy perturbation method, Journal of Applied Mathematics, 2012, 1–14.

    Google Scholar

    [16] H. Vázquez-Leal, U. Filobello-Niño, R. Castañeda-Sheissa, L. Hernández-Martínez and A. Sarmiento-Reyes, Modified HPMs inspired by homotopy continuation methods, Mathematical Problems in Engineering, 2012, 1–19.

    Google Scholar

    [17] H. Vázquez-Leal, A. Sarmiento-Reyes, Y. Khan, U. Filobello-Nino and A. Diaz-Sanchez, Rational biparameter homotopy perturbation method and Laplace-Pade coupled version, Journal of Applied Mathematics, 2012, 1–21.

    Google Scholar

    [18] H. R. Li, Research based on Rational homotopy perturbation method for solving optimal control problems, Ph.M. University of Science and Technology Liaoning, 2021.

    Google Scholar

    [19] W. W. Mohammed, C. Cesarano, N. I. Alqsair and R. Sidaoui, The impact of Brownian motion on the optical solutions of the stochastic ultra-short pulses mathematical model, Alexandria Engineering Journal, 2024, 101, 186–192. doi: 10.1016/j.aej.2024.05.054

    CrossRef Google Scholar

    [20] W. W. Mohammed, C. Cesarano, A. A. Elmandouh, I. Alqsair, R. Sidaoui and H. W. Alshammari, Abundant optical soliton solutions for the stochastic fractional fokas system using bifurcation analysis, Physica Scripta, 2024, 99(4), 045233.

    Google Scholar

    [21] D. G. Prakasha, P. Veeresha and H. M. Baskonus, Two novel computational techniques for fractional Gardner and Cahn-Hilliard equations, Computationsl and Mathematical Methods, 2019, 1(2).

    Google Scholar

    [22] B. Ren, Symmetry reduction related with nonlocal symmetry for Gardner equation, Communications in Nonlinear Science and Numerical Simulation, 2017, 42, 456–463.

    Google Scholar

    [23] P. Sripacharasakullert, W. Sawangtong and P. Sawangtong, An approximate analytical solution of the fractional multi-dimensional Burgers equation by the homotopy perturbation method, Advances in Difference Equations, 2019, 2019(1), 1–12.

    Google Scholar

    [24] S. K. Vanani and F. Soleymani, Application of the homotopy perturbation method to the Burgers equation with delay, Chinese Physics Letters, 2012, 29(3), 5–8.

    Google Scholar

    [25] T. L. Yin, Z. Q. Xing and J. Pang, Modified Hirota bilinear method to (3+1)-D variable coefficients generalized shallow water wave equation, Nonlinear Dynamics, 2023, 111(11), 9741–9752.

    Google Scholar

    [26] M. Zakarya, M. Altanji, G. AlNemer, H. A. A. El-Hamid, C. Cesarano and H. M. Rezk, Fractional reverse Coposn’s inequalities via conformable calculus on time scales, Symmetry, 2021, 13, 542.

    Google Scholar

    [27] J. J. Zhao, R. Zhan and Y. Xu, The analysis of operator splitting for the Gardner equation, Applied Numerical Mathematics, 2019, 144, 151–175.

    Google Scholar

    [28] Z. Zhao and J. Pang, Solitary wave solutions of GKP equation with (2+1) dimensional variable-coefficients in dynamic systems, Chaos, Solitons and Fractals: X, 2022, 8.

    Google Scholar

Figures(4)

Article Metrics

Article views(1279) PDF downloads(474) Cited by(0)

Access History

Other Articles By Authors

Catalog

    /

    DownLoad:  Full-Size Img  PowerPoint